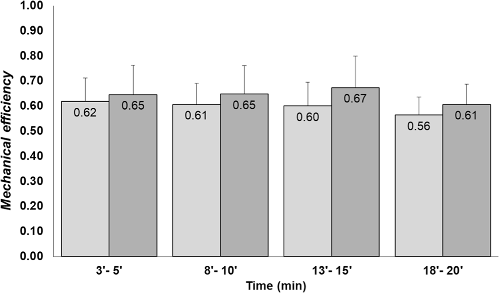
Figure 4

Mechanical efficiency (Eff) in the 20-minute submaximal constant-speed running test at 14 km.h−1. The light gray and dark gray bars represent the mean and standard deviation of Eff in Post-cycling run and control run, respectively. *Represents p < 0.05 of the paired t-test.