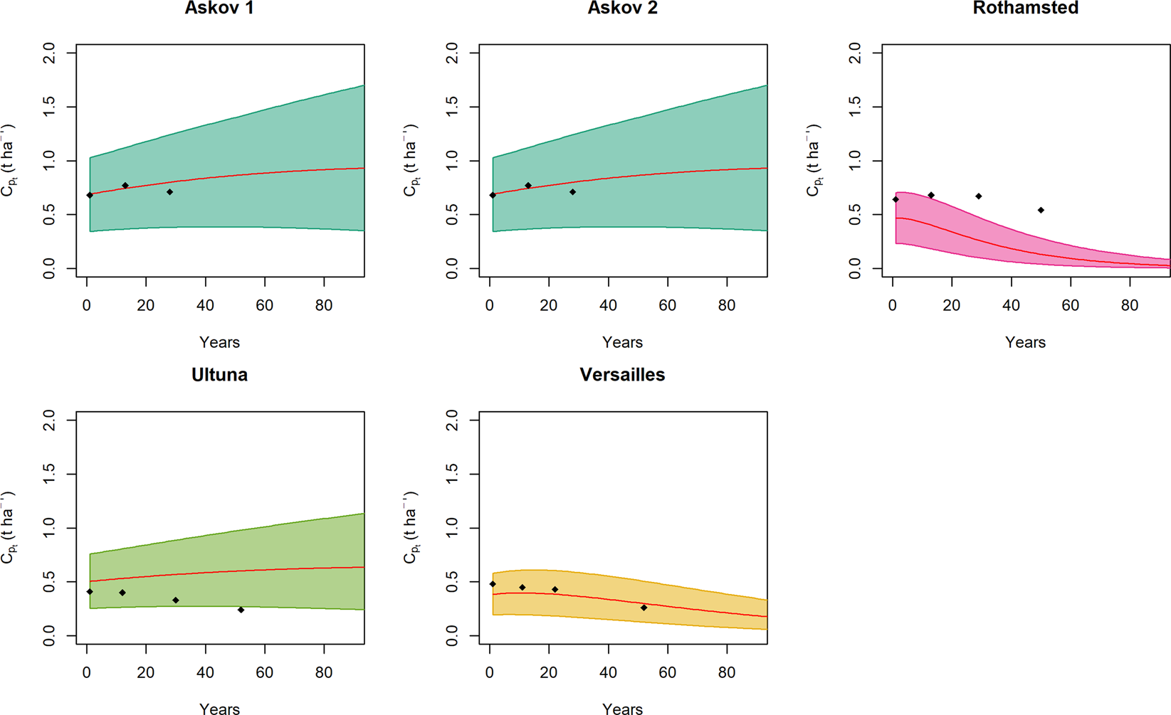
Figure 5

The amount plant material remaining measured (blacks solid rombs) and simulated by the model and described by Eq. 5 (colored lines and areas). The continuous red line represents the projection from the best parameter set in terms of RMSE, while the colored areas represent the parameter sets within the 95% quantiles of the RMSE distribution. No data were measured for Kursk and Grignon.