Figure 4
From: Slowed Movement Stopping in Parkinson’s Disease and Focal Dystonia is Improved by Standard Treatment

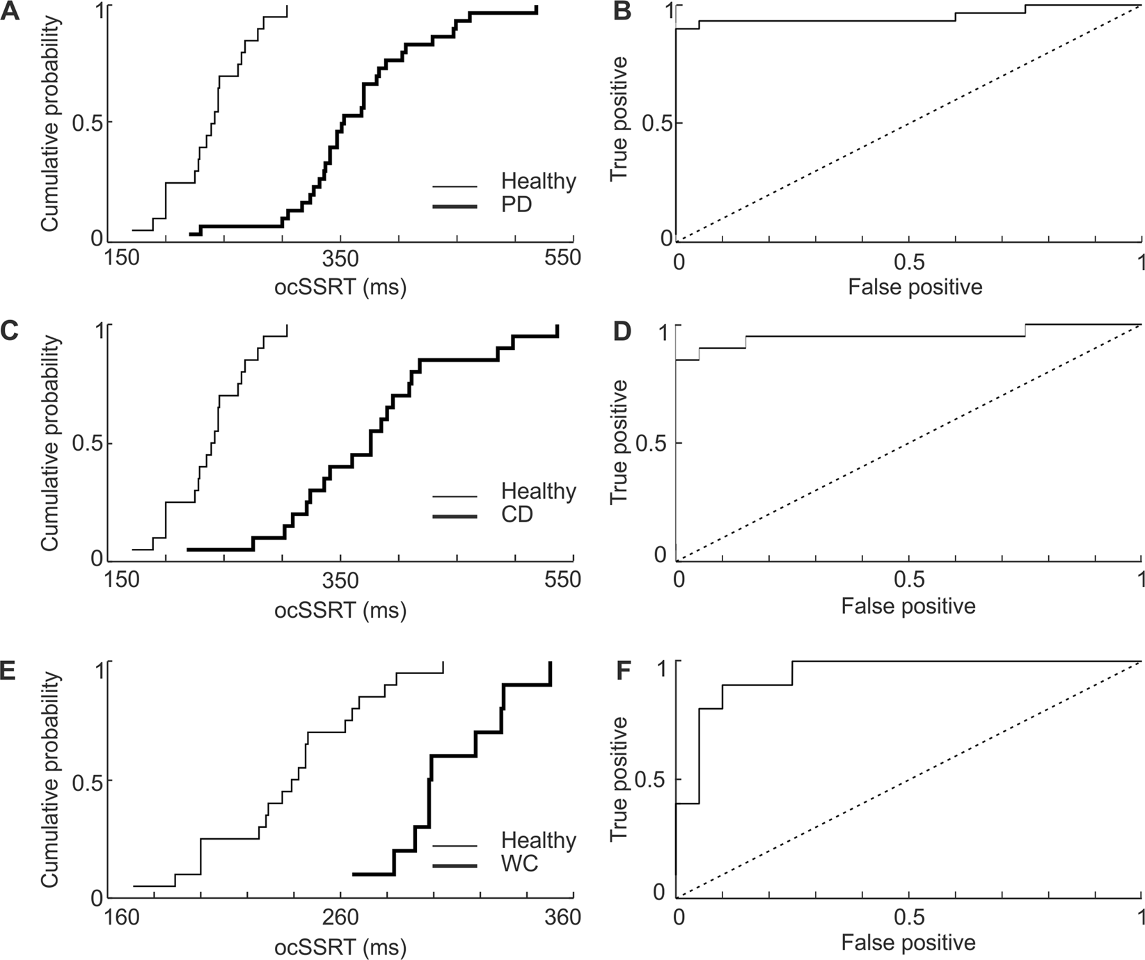
The cumulative probability and receiver operating characteristic (ROC) curves for ocSSRT in healthy controls and patients with movement disorders. (A,C,E) Cumulative probability distributions of ocSSRT in patients with Parkinson’s disease (PD), cervical dystonia (CD) and writer’s cramp (WC) (thick line) and healthy controls (thin line). (B,D,F) ROC plots derived from the cumulative probability distributions in (A,C,E) confirming that ocSSRT can effectively separate healthy controls from PD, CD and WC patients. Dotted diagonal line indicates expected result if ocSSRT did not discriminate the groups.