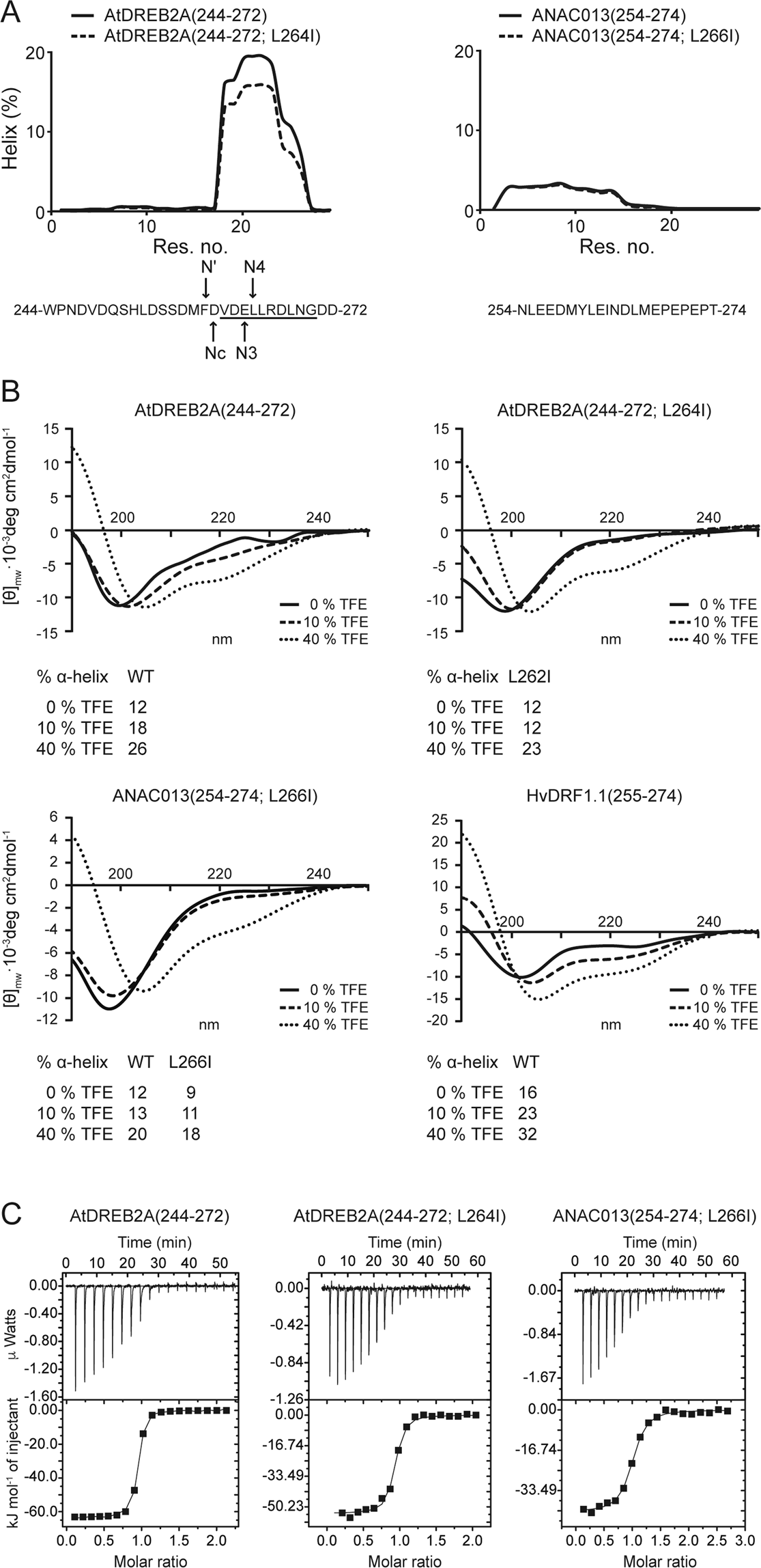
Figure 5

Experimental verification of SLiM variants. (A) Left: Helicity per residue predicted by Agadir for AtDREB2A(244–272) and AtDREB2A(244–272; L264I) (top) and sequence of AtDREB2A(244–272) (bottom) with the N’ and N4 residues of the hydrophobic staple motif marked and the α-helix formed in complex with RCD1 underlined. Right: Helicity per residue predicted by Agadir for ANAC013(254–274; L266I). (B) Far-UV CD spectra of 15‒20 µM TF peptide as indicated above the spectra in 10 mM Na2HPO4/NaH2PO4, pH 7.0, and 0–40% (v/v) TFE. Data for ANAC013(254–274) has been reported previously30. (C) Representative ITC measurements, here shown for the RCD1-RST(499–572) interactions with AtDREB2A(244–272), AtDREB2A(244–272;L264I), and AtANAC013(254–274;L266I). The AtANAC013(254–274):AtRCD1-RST(499–572) interaction was published previously30. AtRCD1-RST(499–572) was titrated into the TF fragments. In each panel, the upper portion shows baseline-corrected raw data from the titration, and the lower portion shows the normalized integrated binding isotherms together with the fitted binding curves. The data were fitted to a “one set of sites” binding model. Parameters obtained from the non-linear fits are presented in Table 2.