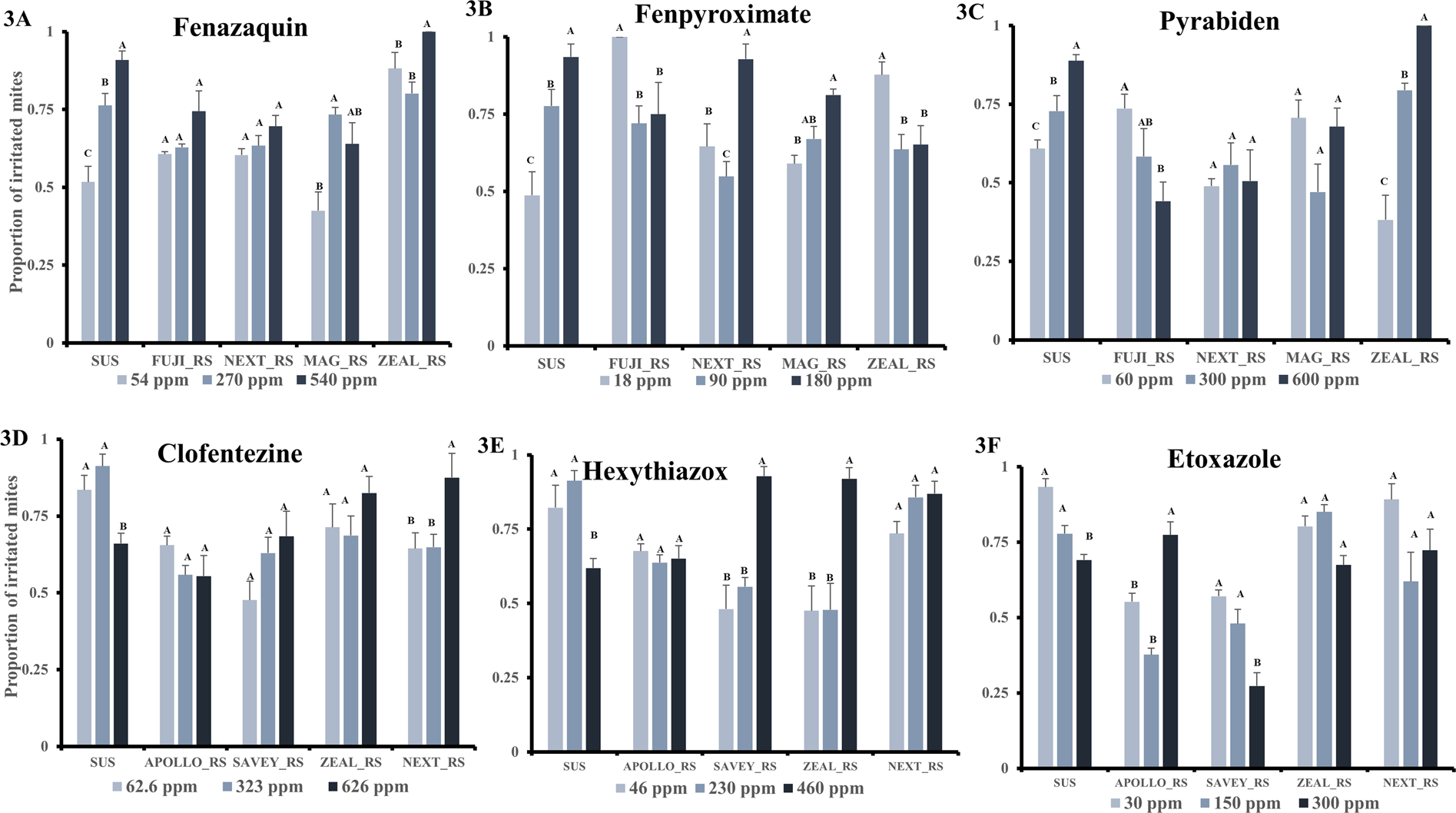
Figure 3
From: Physiological resistance alters behavioral response of Tetranychus urticae to acaricides

Contact irritancy of mitochondrial complex I electron transport inhibitorsĀ (MET-I; AāC) and mite growth inhibitors (MGI; DāF) on different Tetranychus urticae strains. Bars represent proportion of irritated mites at each acaricide dose. Different letters above bars indicate significant differences in mite irritancy (Pā<ā0.05) at tested doses within each T. urticae strain.