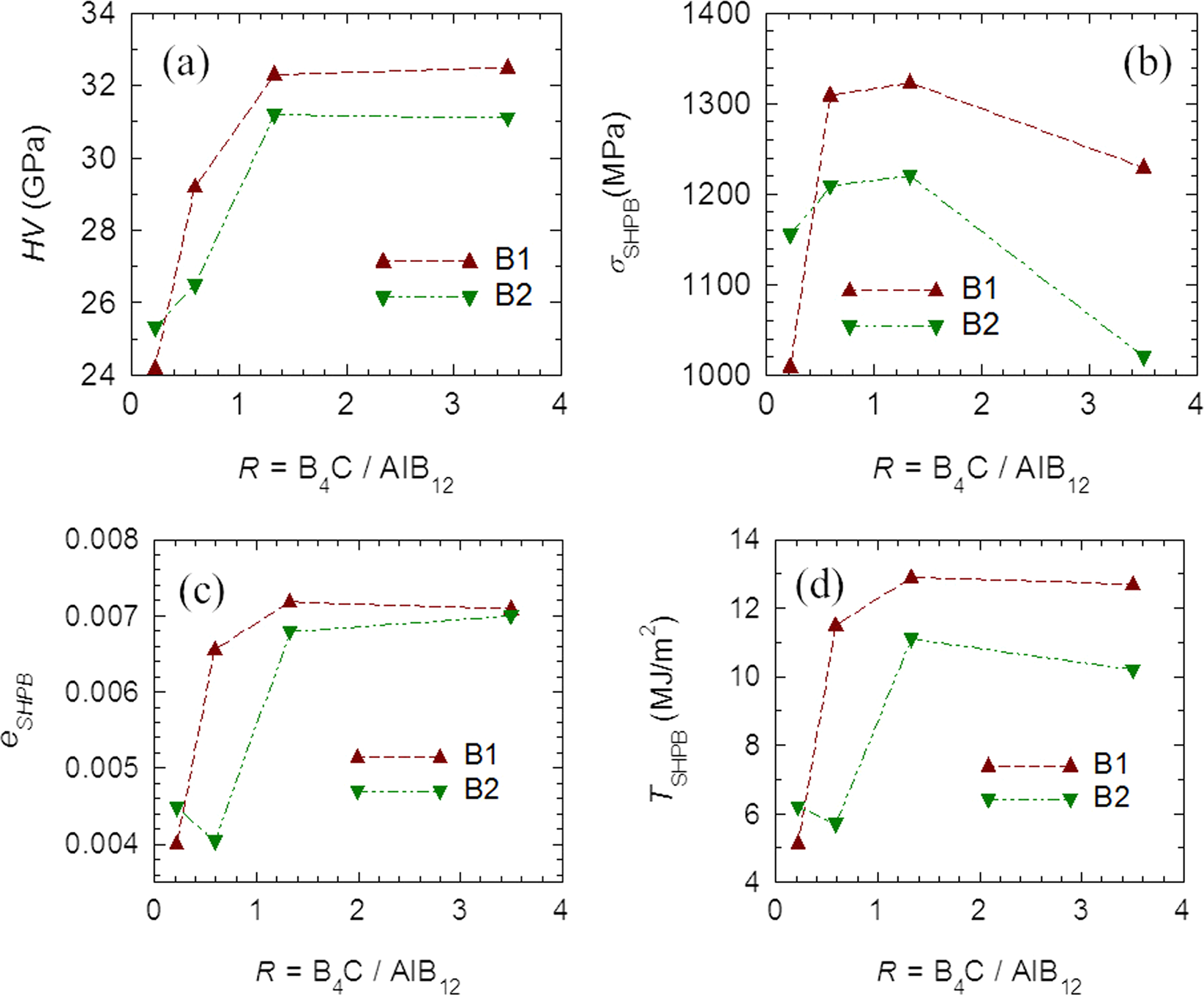
Figure 8

(a) - Vickers hardness (HV), (b) - dynamic strength (σSHPB), (c) - strain (eSHPB) and (d) -toughness (TSHPB) as a function of the ratio (R) between the amount of B4C and AlB12 in the initial powder mixtures. The samples were obtained by SPS using the amorphous (B1) or crystalline (B2) boron (see Table 1).