Figure 6

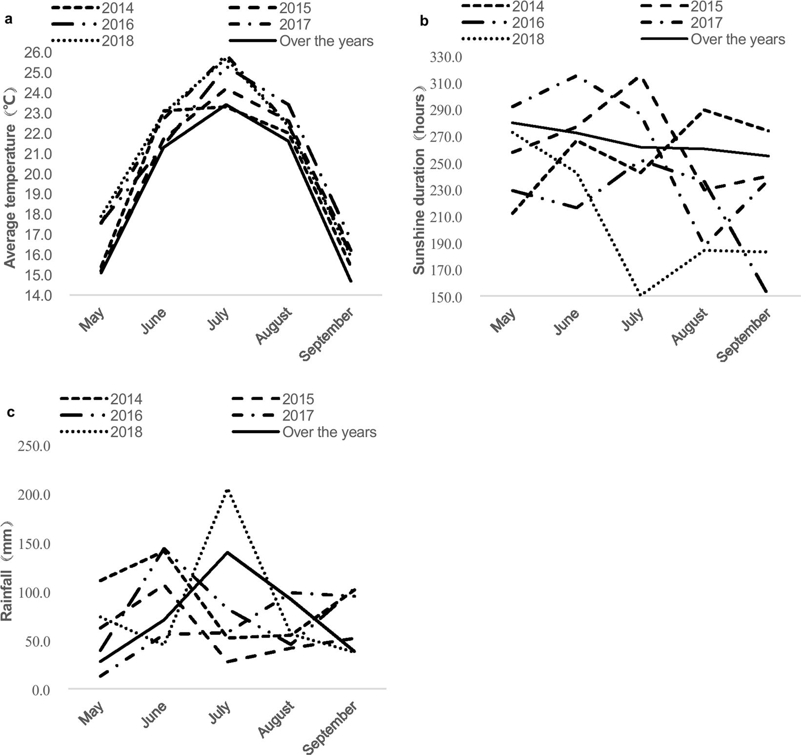
Meteorological data of Baicheng city, jilin province, China, from 2014 to 2018. (a) Average temperature (b) Sunshine duration, (c) Rainfall.

Meteorological data of Baicheng city, jilin province, China, from 2014 to 2018. (a) Average temperature (b) Sunshine duration, (c) Rainfall.