Figure 2
From: Period doubling as an indicator for ecosystem sensitivity to climate extremes

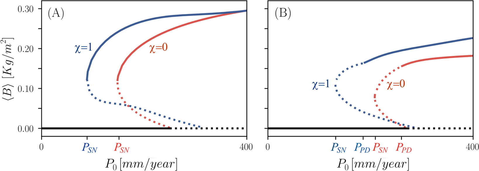
Bifurcation diagrams of resonant vegetation oscillations under weak (A) and strong (B) seasonal forcing, obtain from Eq. (2). Horizontal and vertical axes represent precipitation rate and annual biomass average, respectively. Solid (dashed) lines represent stable (unstable) solutions. The blue curves describe 1:1 oscillating-vegetation solutions of the functional group χ = 1 (highest investment in tolerance to water stress), while the red curves describe similar solutions of the functional group χ = 0 (highest investment in fast growth). The black lines describe the bare-soil solution, which remains stable up to the bifurcation points with the oscillating-vegetation solutions. The label PSN denotes the saddle-node bifurcation at which the 1:1 oscillating-vegetation solutions cease to exist, which depends on the seasonality strength a. The label PPD denotes a period-doubling instability of 1:1 oscillating-vegetation solutions. Parameters are as in Table 1 and a = 0.01 (A), a = 1.0 (B).