Figure 8
From: Temporal development of the oral microbiome and prediction of early childhood caries

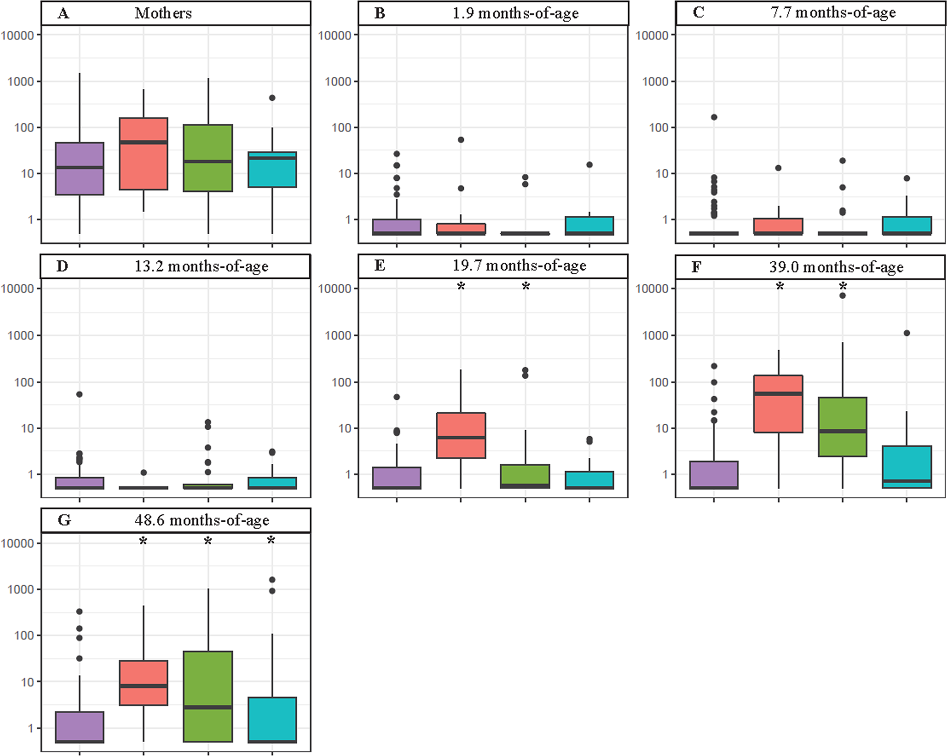
Abundance of S. mutans in the saliva of mothers and children at specified time points who remained healthy for the entire 60 months (purple, n = 69), developed clinically detectable disease at 39 months (red, n = 12), 48.6 months (green, n = 33) or 60 months (blue, n = 20) of age. The box plots show the median (line within the box), first and third quartiles (box), non-outlier range (whiskers), and outliers (dots). Asterisks denote those values significantly different to the remain healthy control group.