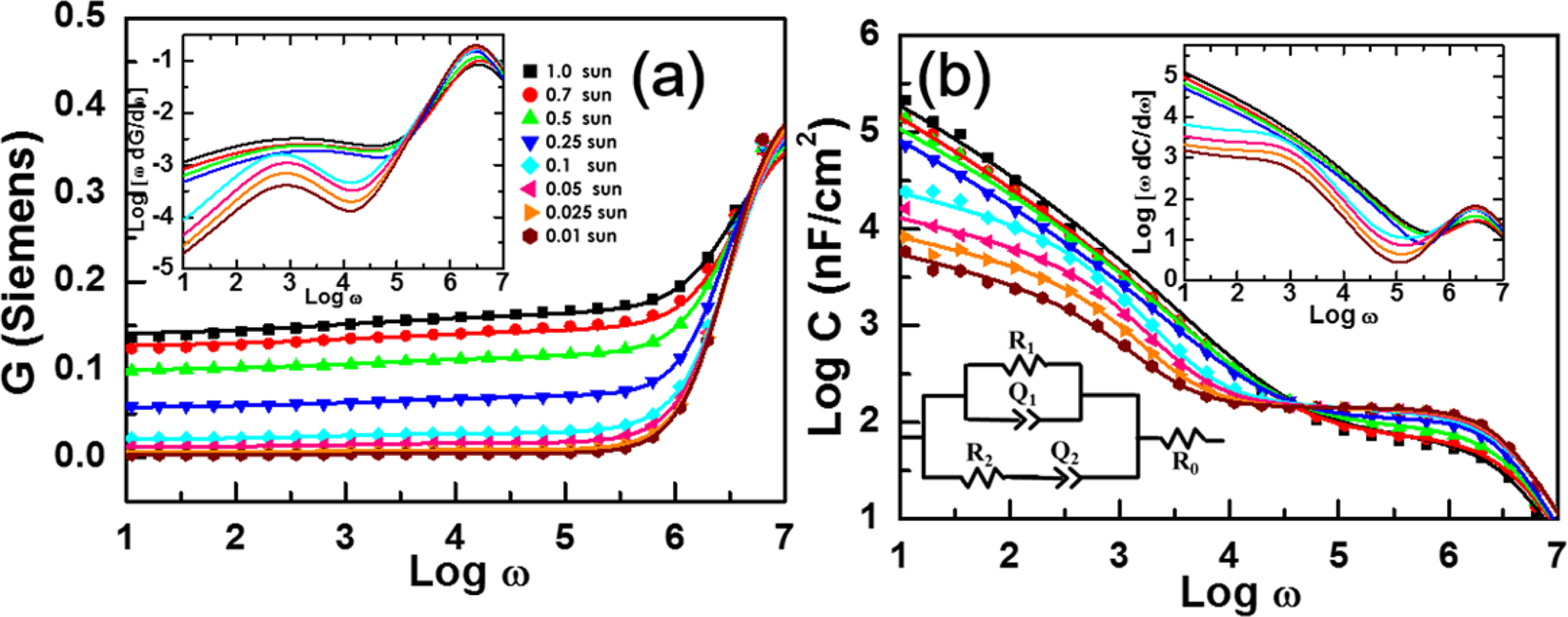
Figure 2

Illumination-intensity dependence of EIS spectra of the Perovskite solar cell. Symbols are respectively semi-log and log-log plots of measured conductance (a) and capacitance (b) with respect to angular frequency. Lines are the best-fit curves according to the inset equivalent-circuit model. Upper insets corresponding to the derivatives of EIS spectra showed clear distinction between low- and high-illumination operations; moreover, indicated contributions of two processes with respective time constants that differed by three orders of magnitude.