Thank you for visiting nature.com. You are using a browser version with limited support for CSS. To obtain
the best experience, we recommend you use a more up to date browser (or turn off compatibility mode in
Internet Explorer). In the meantime, to ensure continued support, we are displaying the site without styles
and JavaScript.
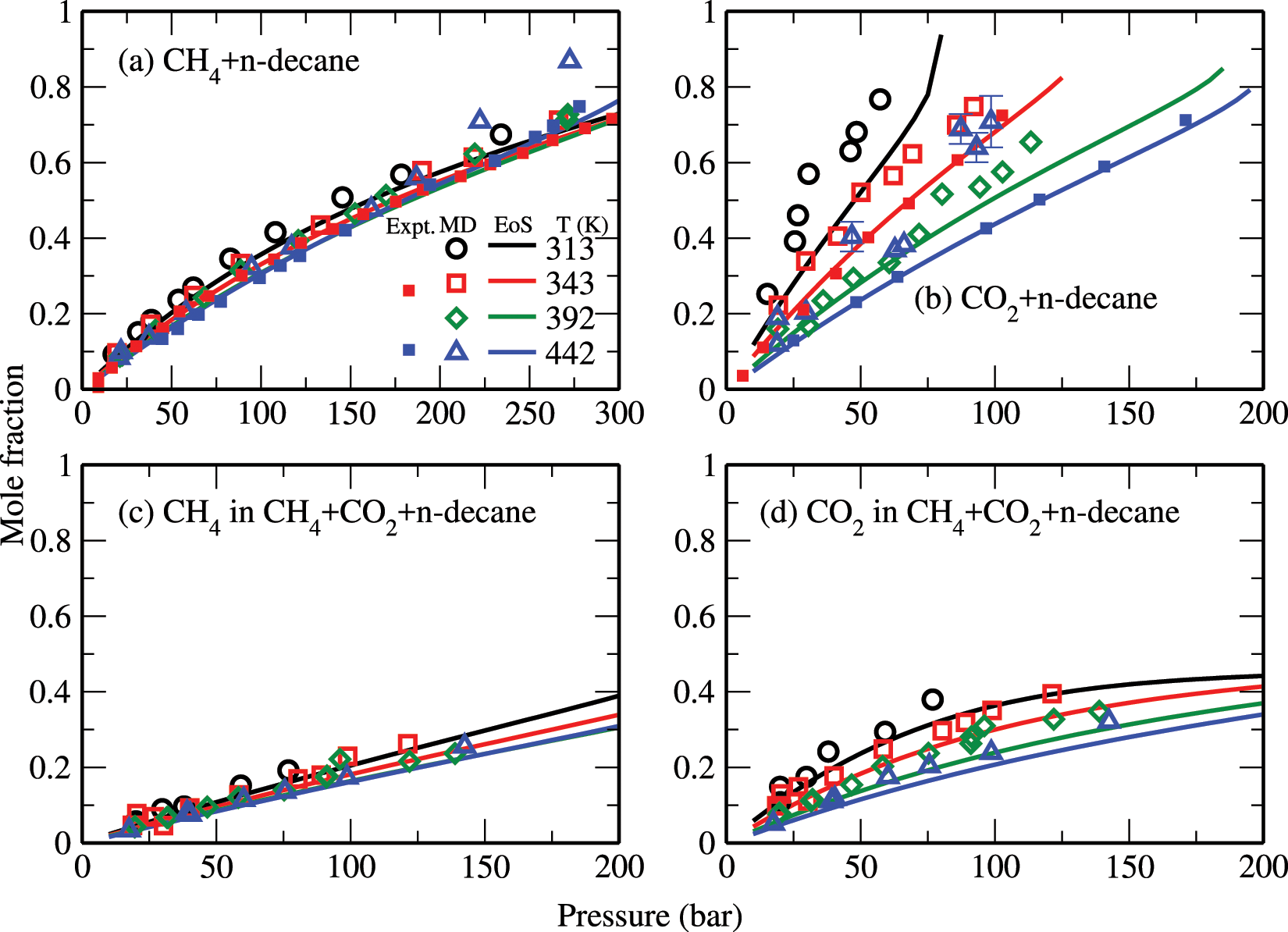
Mole fractions of CH4 and CO2 in the decane-rich phase: (a) CH4 in CH4 + n-decane, (b) CO2 in CO2 + n-decane, (c) CH4 in CH4 + CO2 + n-decane, and (d) CO2 in CH4 + CO2 + n-decane systems. The symbols are the same as in Fig. 3. Note that here the experimental data were taken from Reamer et al.30,32.