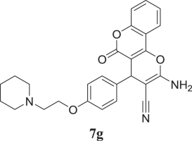
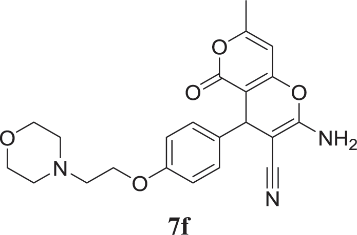
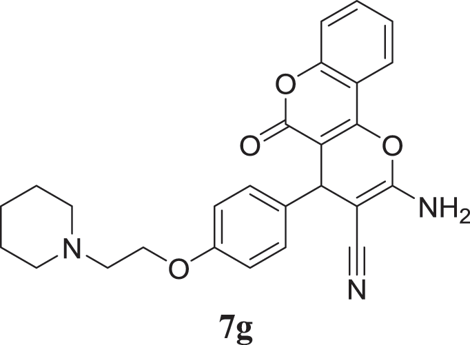
Table 1 IC50 of the series of products obtained in this study for inhibition of AChE and BuChE.

From: Phenoxyethyl Piperidine/Morpholine Derivatives as PAS and CAS Inhibitors of Cholinesterases: Insights for Future Drug Design

Compound

eeAChE IC50 µM

eqBuChE IC50 µM

>100

71.3 ± 10.7

>100

>100

View full size image

2.8 ± 1.2

>100

View full size image

>100

>100

View full size image

0.5 ± 0.05

>100

View full size image

15.8 ± 6.90

45.9 ± 9.3

View full size image

20.4 ± 9.3

8.1 ± 0.50

View full size image

59.2 ± 5.3

68.9 ± 2.3

View full size image

35.6 ± 3.7

2.5 ± 0.6

View full size image

71.7 ± 9.1

>100

View full size image

2.1 ± 1.2

>100

View full size image

>100

>100

View full size image

39.7 ± 11.2

61.7 ± 8.4

View full size image

45.9 ± 9.5

>100

View full size image

0.032

50