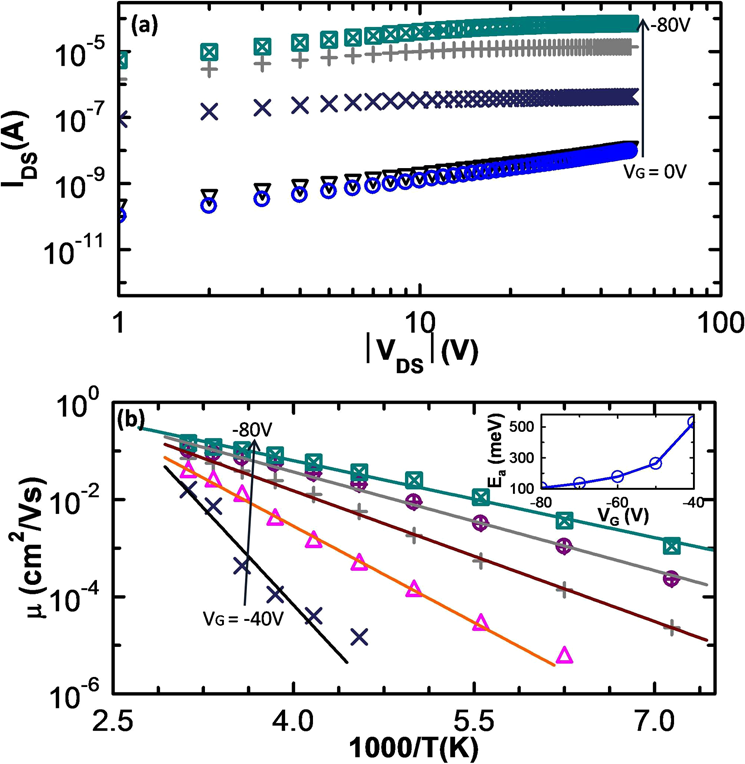
Figure 2
From: Carrier Induced Hopping to Band Conduction in Pentacene

Negative source−drain regime: (a) IDS − VDS on a log-log plot for a pentacene thin film based OFET. Here, linear and saturation regions are clearly distinguishable. (b) Arrhenius temperature dependence of charge carrier mobility measured at different VG. Inset shows the variation of activation energy with the VG. Different symbols represent different values of the applied VG.