Figure 1
From: Human mesenchymal stem cells are resistant to UV-B irradiation

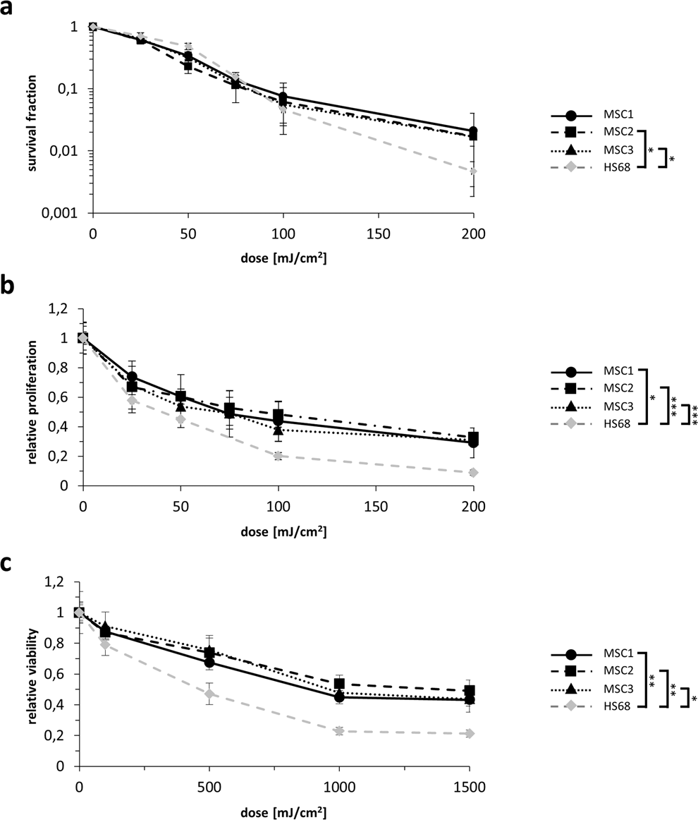
MSCs are more resistant to UV-B irradiation than dermal fibroblasts. (a) Clonogenic survival assays for human MSCs and HS68 dermal fibroblasts. (b) Relative proliferation at 96 hours after UV-B treatment of MSCs and dermal fibroblasts. (c) MTS assays showing metabolic viability at 96 hours after UV-B irradiation using doses up to 1500 mJ/cm2. *P < 0.05, **P < 0.01, ***P < 0.001. Two-sided Student’s t-tests at 200 mJ/cm2 (clonogenicity and proliferation assays) and 1500 mJ/cm2 (viability assays) were used. Mean ± standard deviation is shown, n = 3.