Figure 5

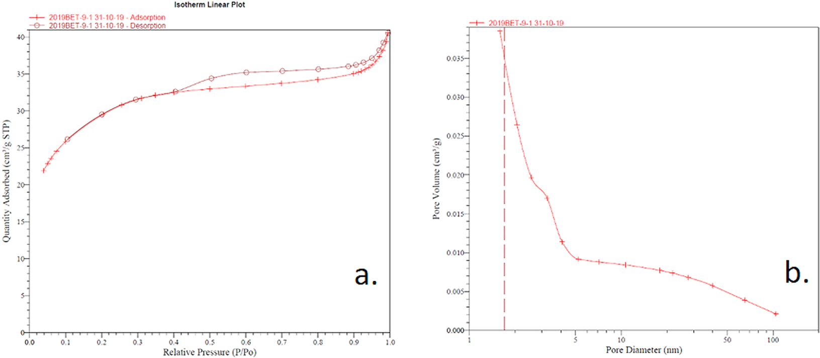
Absorption-desorption plot (a) and pore size and volume distribution (b) of quartz microfiber decorated with nanotitania.

Absorption-desorption plot (a) and pore size and volume distribution (b) of quartz microfiber decorated with nanotitania.