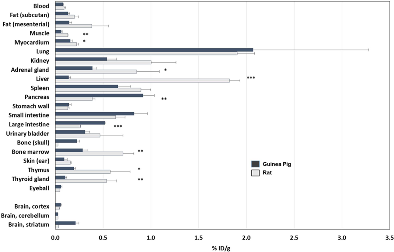
Figure 5
From: [18F]SPA-RQ/PET Study of NK1 receptors in the Whole Body of Guinea Pig and Rat

18F-radioactivity uptake in GP and rat tissues at 60 min post injection of [18F]SPA-RQ. Values are from three GPs and two rats (rat striatum, muscle and eyeball; n = 1). Significances are marked as *p < 0.05, **p < 0.01 and ***p < 0.001.