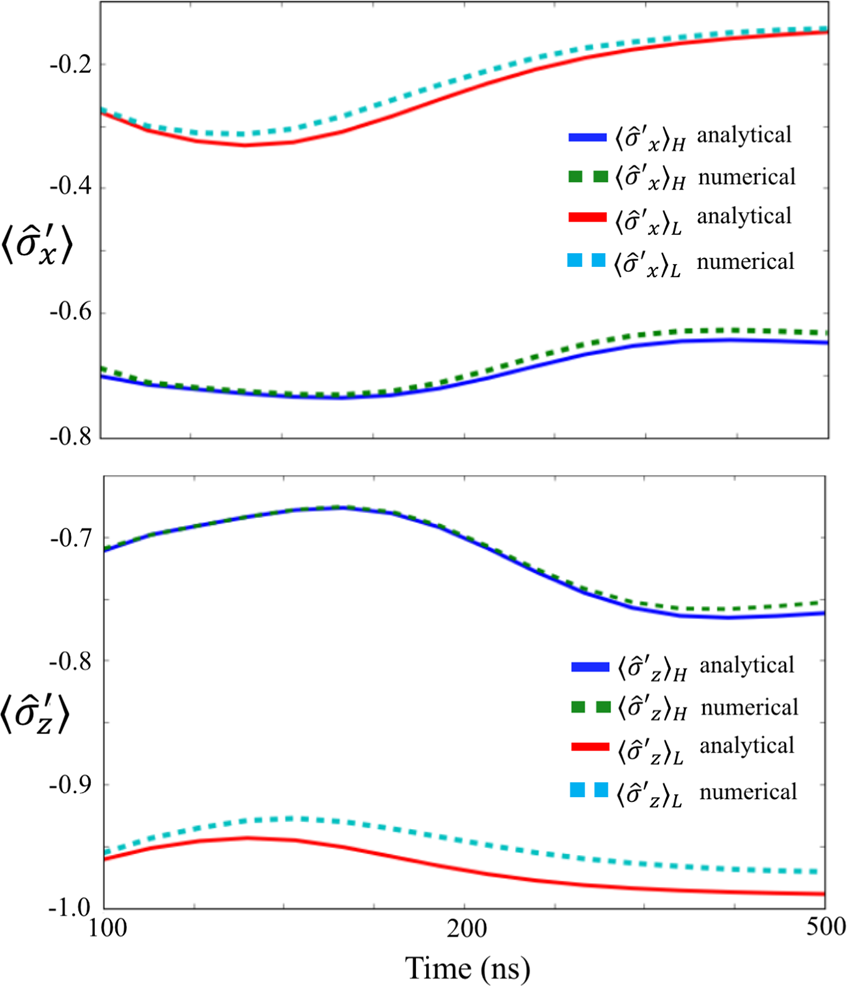
Figure 8

Numerical results and analytical solutions of the expected values of \({\hat{\sigma }^{\prime} }_{x}\) and \({\hat{\sigma }^{\prime} }_{z}\) after the nonlinear resonator is projected into a high-amplitude state or a low-amplitude state. In the analytical calculations, we use the simplified Hamiltonian described in Eq. (3). Note that we do not show the time evolution from \(t=0\,{\rm{ns}}\) to \(t=100\,{\rm{ns}}\), because the high-amplitude state is not generated until approximately \(t=100\,{\rm{ns}}\).