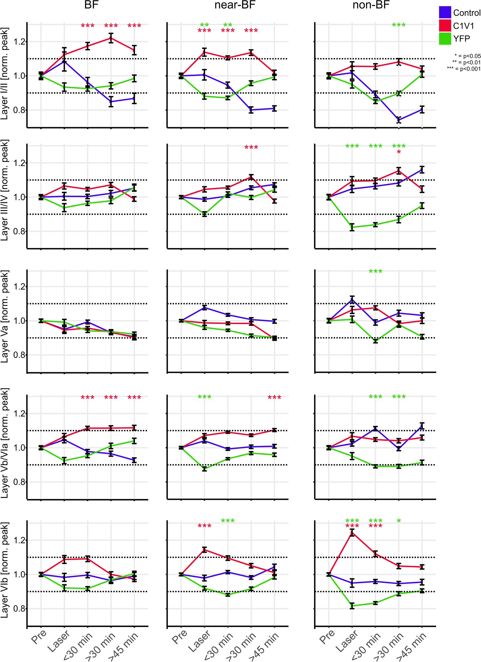
Figure 3

Binned time courses of single-trial sink peak amplitude data of layer-specific CSD-traces Temporal development of single-trial sink peak amplitudes for early sink activity (sink onset <50 ms) in layers III/IV, Va and Vb/VIa and late sinks (sink onset >50 ms) in layers I/II and VIb for BF, near- and non-BFs. Layer I/II peak amplitudes showed a significant increase for the C1V1 group during laser and in post-measurements, surpassing the +10% criterion within the BF and near-BF bins. Significant differences from the control group are again revealed by LME models and indicated by asterisks. Layer I/II peak amplitudes in the YFP and control group did not show corresponding increases over the recording time but showed a decrease and recovery for the YFP group. Layer III/IV activity did not reveal differences over time for BF-evoked responses in all groups. With spectral distance from the BF the C1V1 group showed a moderate increase yielding significance at the >30 min time bin compared to control animals. Within the non-BF bin, peak amplitudes showed a significant decrease in the YFP group during and after laser stimulation. Layer Va peak amplitudes were most stable across time and groups only displaying a significant decrease for the YFP group in the non-BF bin a <30 min. Layer Vb/VIa peak amplitudes in the C1V1 group were significantly increased in all post-measurements after BF-stimulation. For stimulation with near-BF a similar trend was found. Significant changes between the YFP and control group were again due to decreased peak amplitudes in the YFP group. Layer VIb displayed a highly significant increase in the C1V1 group during laser stimulation, most prominent in the non-BF bin, and less prominent in near-BF and BF bins. Laser-induced increase only persisted for the next time bin, but then recovered to pre-condition. While the control group showed stable peak amplitudes over the time course, YFP animals again showed a moderate decrease most prominent in off-BF bins.