Figure 6
From: Classifying superconductivity in Moiré graphene superlattices

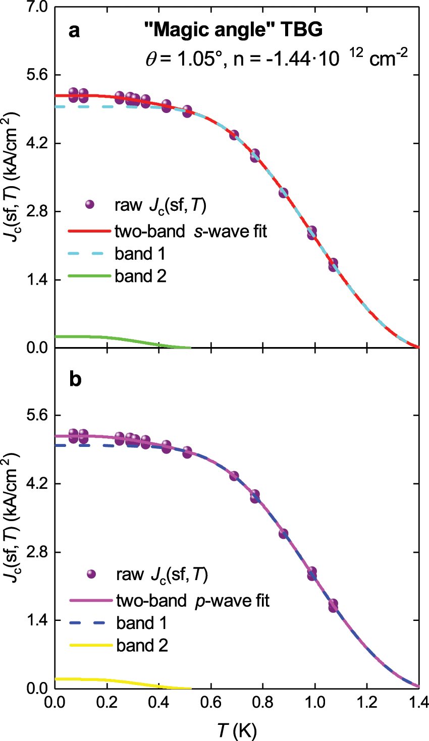
The self-field critical current density, Jc(sf,T), for sample M2 (θ = 1.05°) from the work of Cao et al.7 and a fit of the data to s- and p-wave two-band models. For both models and both bands κc(0) = 35.6 (Eq. 36) was used. (a) s-wave fit, the goodness of fit R = 0.9965; (b) p-wave axial A⊥l fit, R = 0.9965. Deduced parameters are in Table 3.