Figure 5

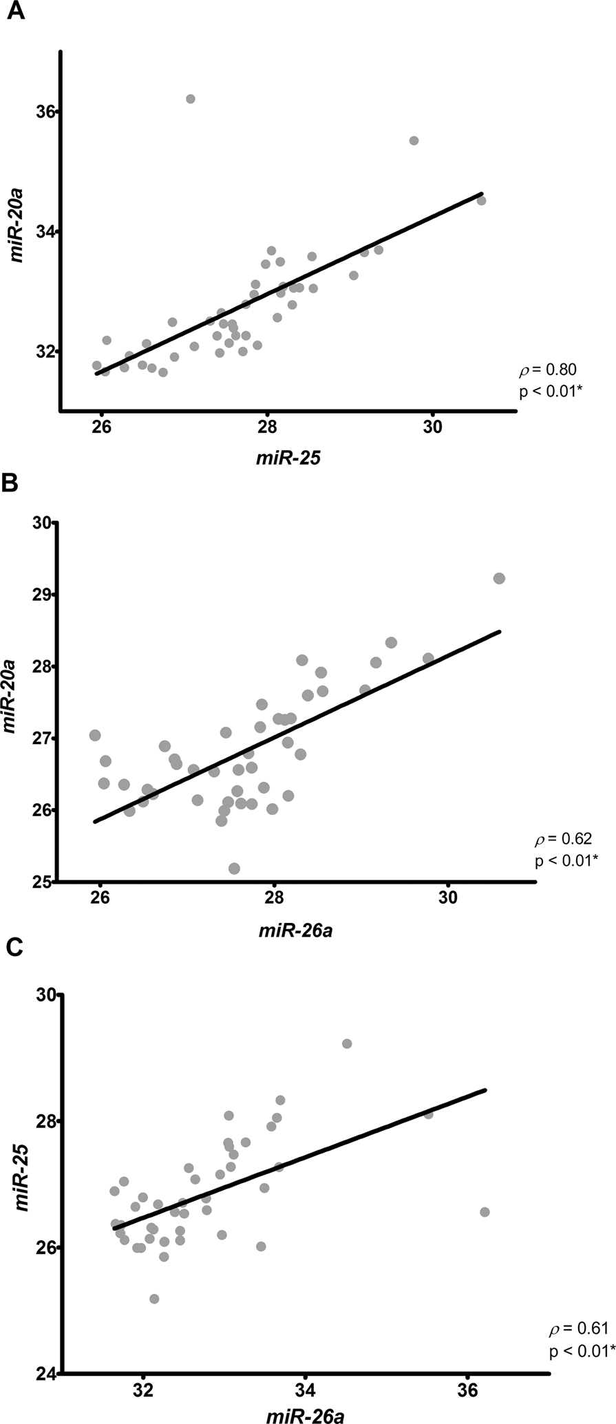
Correlation matrix between the expression of miR-20a and miR-25 (A), miR-20a and miR-26a (B), and between miR-25 and miR-26a (C) candidate housekeeping genes. ρ: Spearman’s rank correlation coefficient. *p < 0.05.

Correlation matrix between the expression of miR-20a and miR-25 (A), miR-20a and miR-26a (B), and between miR-25 and miR-26a (C) candidate housekeeping genes. ρ: Spearman’s rank correlation coefficient. *p < 0.05.