Figure 4
From: Whispering-Gallery Mode Lasing in a Floating GaN Microdisk with a Vertical Slit

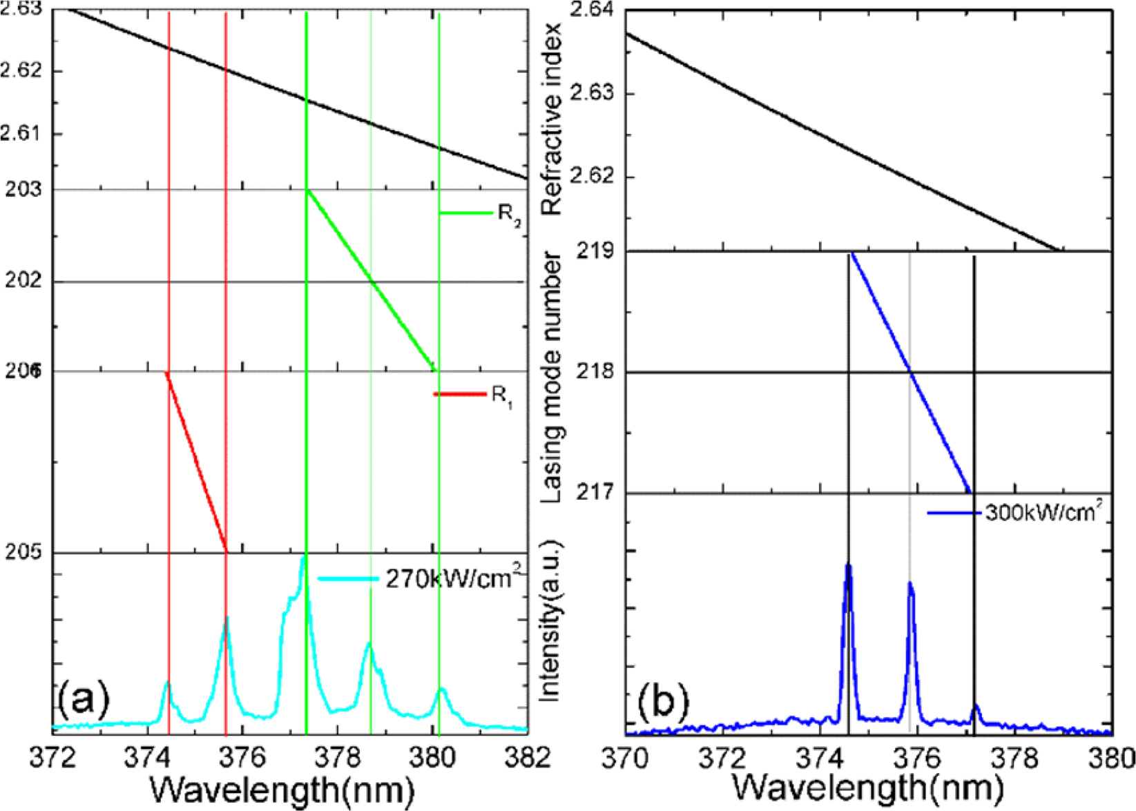
Lasing mode number of floating GaN microdisks (a) without and (b) with the slit.
From: Whispering-Gallery Mode Lasing in a Floating GaN Microdisk with a Vertical Slit

Lasing mode number of floating GaN microdisks (a) without and (b) with the slit.