Figure 1
From: Quadrupolar ordering and exotic magnetocaloric effect in RB4 (R = Dy, Ho)

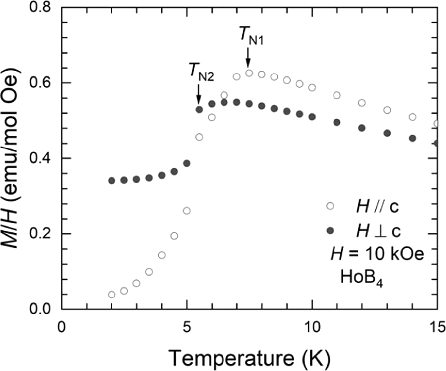
Temperature-dependent magnetization divided by an applied magnetic field, H = 10 kOe, parallel and perpendicular to the c-axis for HoB4.
From: Quadrupolar ordering and exotic magnetocaloric effect in RB4 (R = Dy, Ho)

Temperature-dependent magnetization divided by an applied magnetic field, H = 10 kOe, parallel and perpendicular to the c-axis for HoB4.