Figure 6
From: Conversion of walnut tyrosinase into a catechol oxidase by site directed mutagenesis

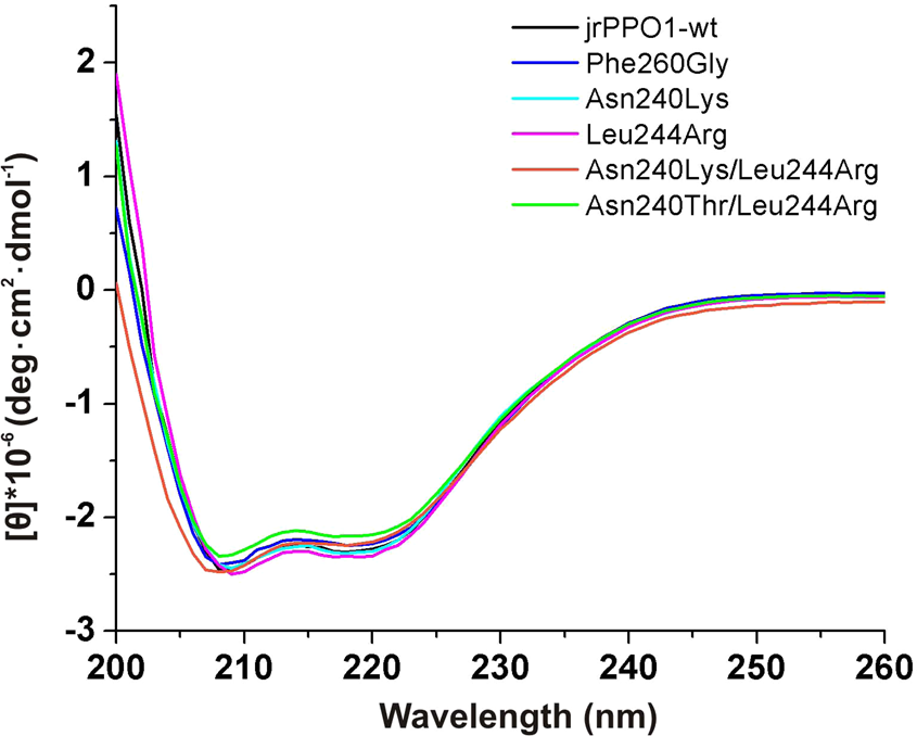
CD-spectra of jrPPO1-wt and the five kinetically investigated mutants. Samples were prepared at a protein concentration of 1 mg/ml in a buffer containing 50 mM sodium phosphate (pH 7.8) and 150 mM NaCl. Spectra are presented after buffer subtraction.