Figure 2
From: Synaptic weighting in single flux quantum neuromorphic computing

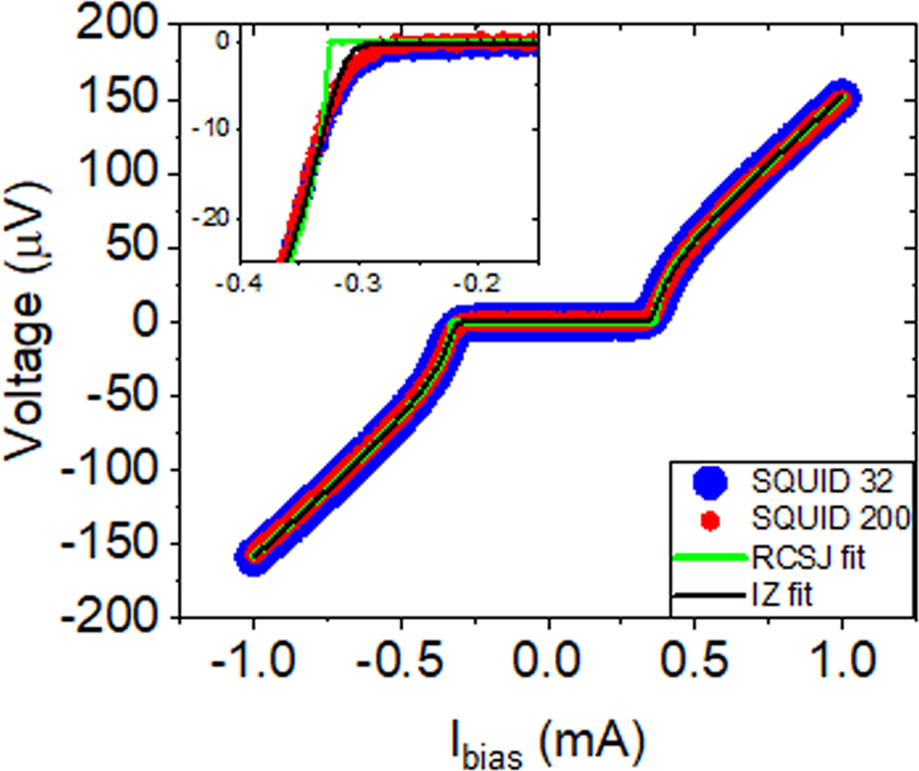
Voltage versus current taken on the output SQUID for the JJsyn with Ic = 32 µA circuit in blue and JJsyn = 200 µA circuit in red. The Ic = 32 µA and Ic = 200 µA data are in good agreement as expected. Fits to the RSJ model and IZ model are shown in green and black, respectively. Inset is a zoom in of the negative knee.