Thank you for visiting nature.com. You are using a browser version with limited support for CSS. To obtain
the best experience, we recommend you use a more up to date browser (or turn off compatibility mode in
Internet Explorer). In the meantime, to ensure continued support, we are displaying the site without styles
and JavaScript.
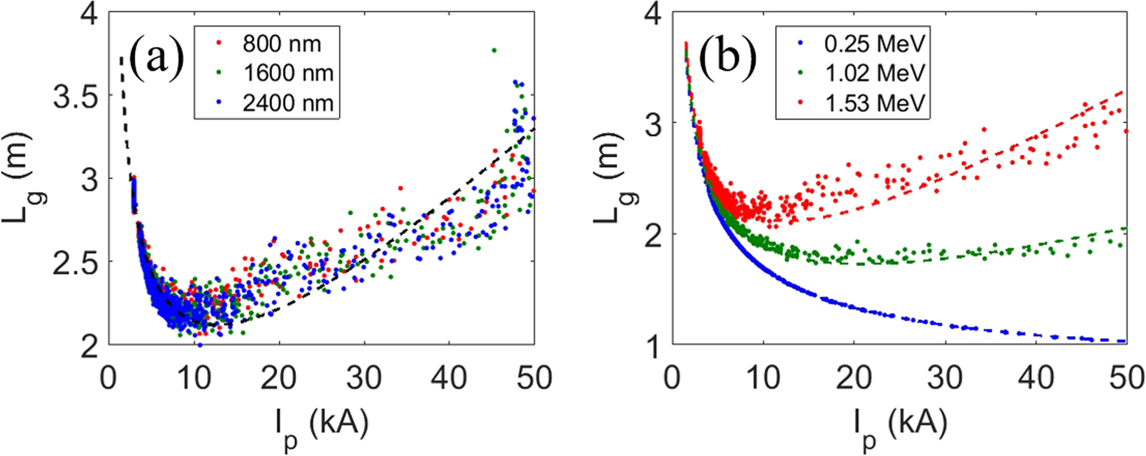
The 3D gain length with respect to the peak current for (a) different modulation laser wavelengths for a base SES of 1.53 MeV, and (b) different SESs of the base electron beam. Dashed lines: Eq. (3) with linear fitting result from Fig. 2 for the rms SES σE.