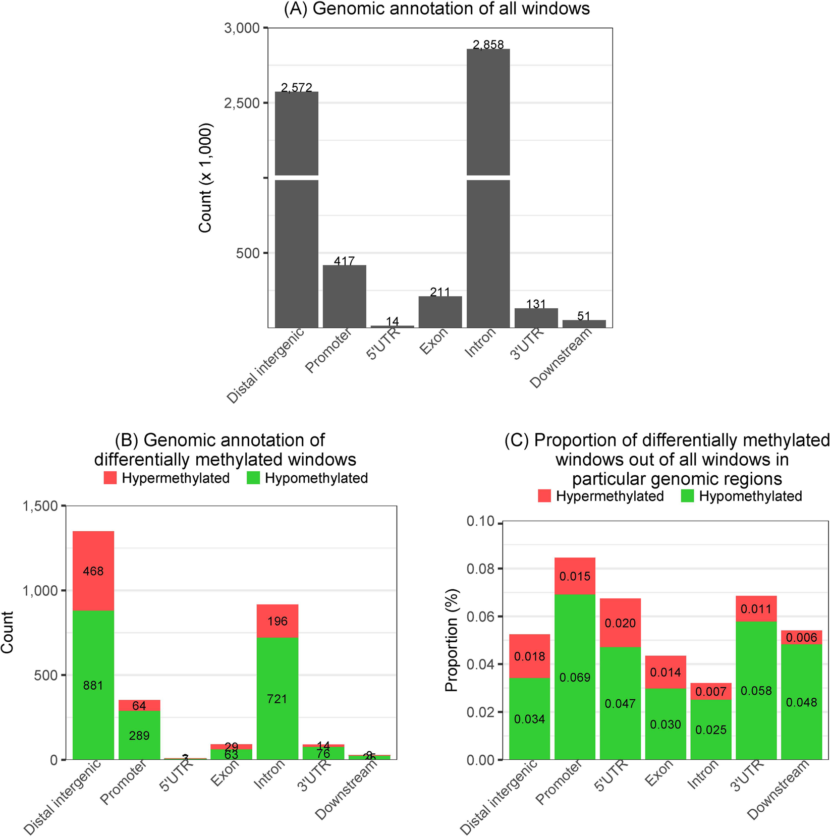
Figure 1

Genomic annotations of differentially methylated regions and their relative proportions with respect to background occurrences in the human genome. (A) Genomic annotation of all 250 nucleotide-long windows along the human genome. (B) Genomic annotations of the differentially methylated windows. (C) Proportion of differentially methylated windows out of all windows in particular genomic regions. UTR, untranslated region.