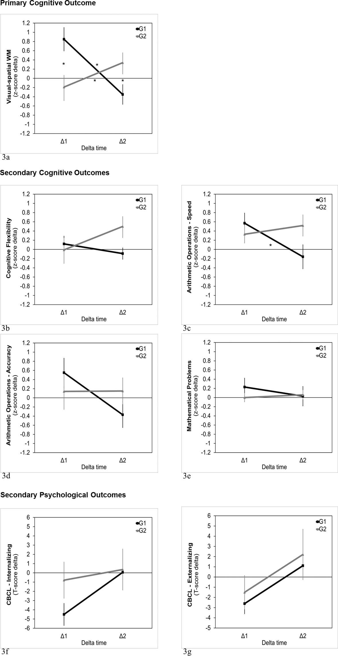
Figure 3

Delta change values (delta 1 and delta 2) for Group 1 (Training-first Group) and Group 2 (Waiting-firts Group) in any cognitive and psychological measures. Note. Delta 1 represents the difference in performance between T2 and T1; delta 2 represents the difference in performance between T3 and T2.