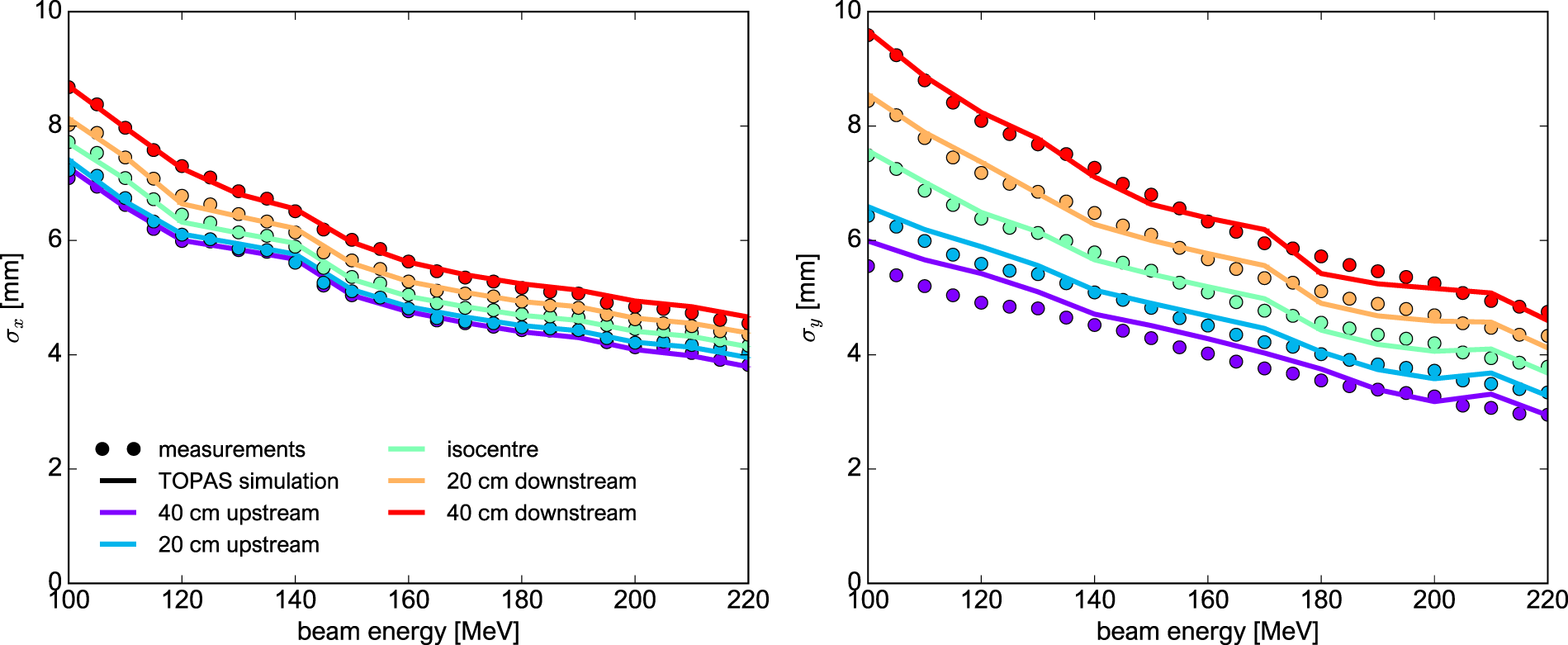
Figure 2

Comparison of the horizontal (left) and vertical (right) beam sizes obtained in TOPAS (solid lines) with measurements (circles) at five different positions around the isocentre and for beam energies from 100 to 220 MeV. The sizes refer to the standard deviation of the respective Gaussian distribution (cf. text section 2.2.1). Uncertainty bars are smaller than markers/line width.