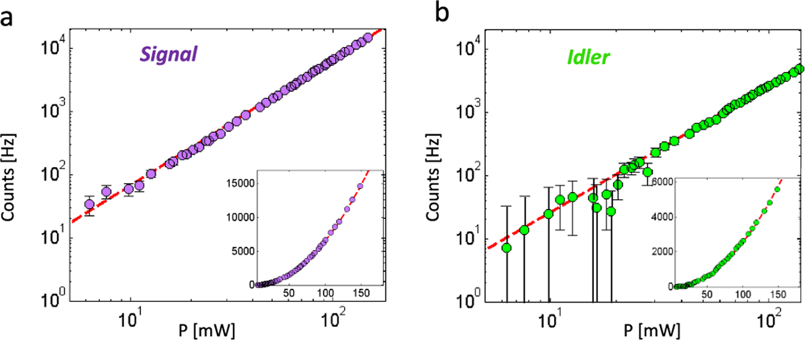
Figure 2

(a) Signal and (b) idler counts as a function of the average pump power. The red lines correspond to a pure quadratic fit (cs/i P2). The dark counts have been subtracted (as = 313 Hz, ai = 2120 Hz). Fit parameters: cs = 0.66 s−1m W−2 and ci = 0.27 s−1m W−2. The different single-photon count rates in the two channels are mainly due to the different quantum efficiencies of signal and idler detectors.