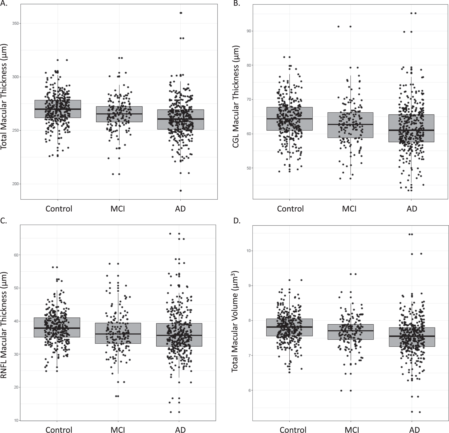
Figure 2

Macular parameters for each diagnostic group. This box plot represents the macular parameter for each diagnostic group (control, MCI, AD). No differences have been found among the three clinical categories. The bottom and top of the box are the first and third quartiles, and the band inside the box represents the median. AD: Alzheimer’s disease; MCI: mild cognitive impairment. (A) Macular Thickness (Total). (B) Macular Thickness (CGL). (C) Macular Thickness (RNFL). (D) Total Macular Volume.