Figure 7

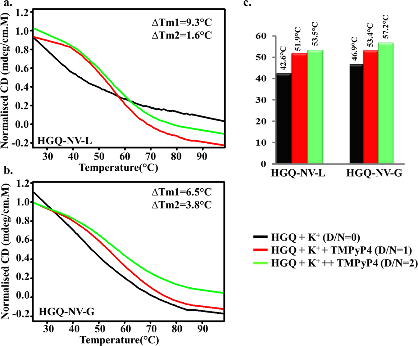
CD melting plots for the HGQs in the presence of TMPyP4 for (a) HGQ-NV-L and (b) HGQ-NV-G; (c) Tm values of each plot are represented in the graphical form and the values are indicated on the top of the bars.

CD melting plots for the HGQs in the presence of TMPyP4 for (a) HGQ-NV-L and (b) HGQ-NV-G; (c) Tm values of each plot are represented in the graphical form and the values are indicated on the top of the bars.