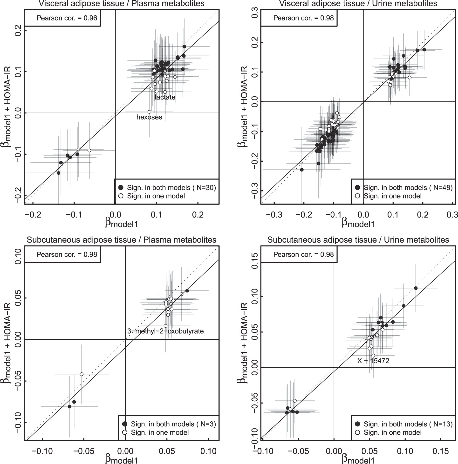
Figure 4

Comparison of the effect sizes (95%-CI indicated by lines) from linear regression models using visceral (VAT, upper panel) or subcutaneous (SAT, lower panel) adipose tissue and metabolite levels as outcome before (x-axis) and after (y-axis) further adjustment for the homeostatic model of insulin resistance (HOMA-IR). Model 1 was adjusted for age, sex, smoking behavior, alcohol consumption, low-density liporotein cholesterol, systolic blood pressure, and estimated glomerular filtration rate. Metabolites meeting statistical significance in both models (false discovery rate <5%) are indicated by darker colors and the number is given in brackets. Metabolites with strong attenuation of effect sizes (>50%) have been annotated. The solid line indicates the fit of an ordinary linear regression model between effect estimates from both models. The dotted line would indicate identity of effect estimates.