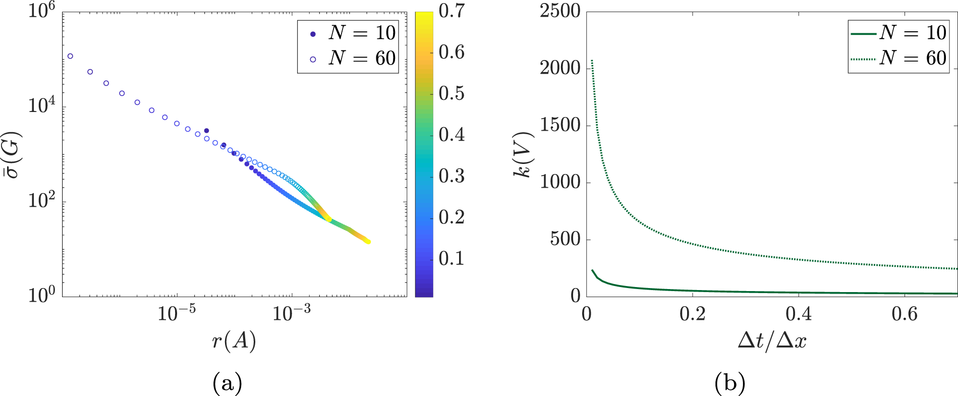
Figure 6

Panel (a) shows the fragility versus responsiveness tradeoff for discrete-time networks obtained through the discretization of the partial differential equation \(\frac{\partial }{\partial t}u(t,x)=\frac{\partial }{\partial x}u(t,x)\), with \(x\in (\,-\,1,1)\) and \(t\ge 0\). We applied a space-time discretization on a regular Δx-Δt grid, with \(\Delta t=\delta \Delta x\) (see the Supplementary Information for further details). The value of δ ranges from 0.1 to 0.7, and it is color coded. This figure shows that the discussed fragility vs responsiveness tradeoff applies also to discrete-time networks. Panel (b) shows the condition number of the network matrix, as a function of the discretization parameter δ. As can be seen, the smaller δ, the larger the non-normality and fragility degrees of the network.