Figure 3
From: Target protein-oriented isolation of Hes1 dimer inhibitors using protein based methods

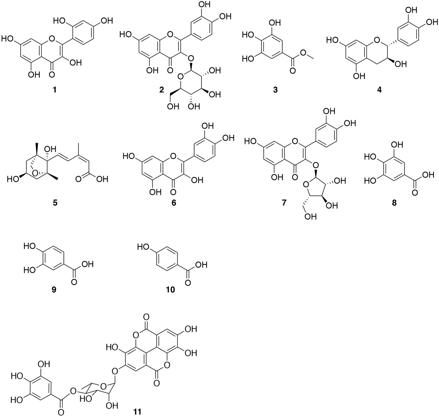
Structures of the isolated compounds.
From: Target protein-oriented isolation of Hes1 dimer inhibitors using protein based methods

Structures of the isolated compounds.