Figure 3
From: Impacts of Mist Spray on Rice Field Micrometeorology and Rice Yield under Heat Stress Condition

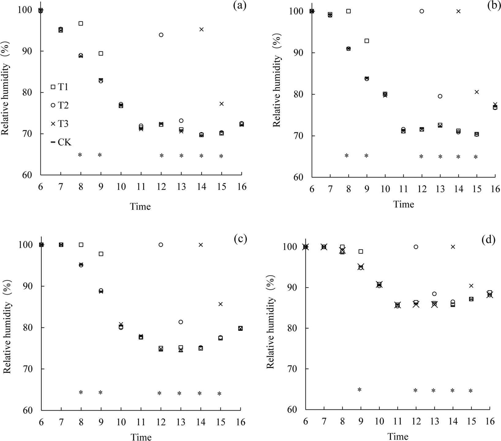
Average diurnal variation of relative humidity in the canopy at different heights (a: 85 cm; b: 75 cm; c: 50 cm; d: 25 cm) for variety of Lingliangyou 268 (LLY 268). *indicate significant difference among treatments (P < 0.05). T1 is mist spray at 08:00, T2 is mist spray at 12:00, T3 is mist spray at 14:00, and CK is no mist spray. Mist spray was conducted with an electric sprayer, and the spray volume was 1 L/m2.