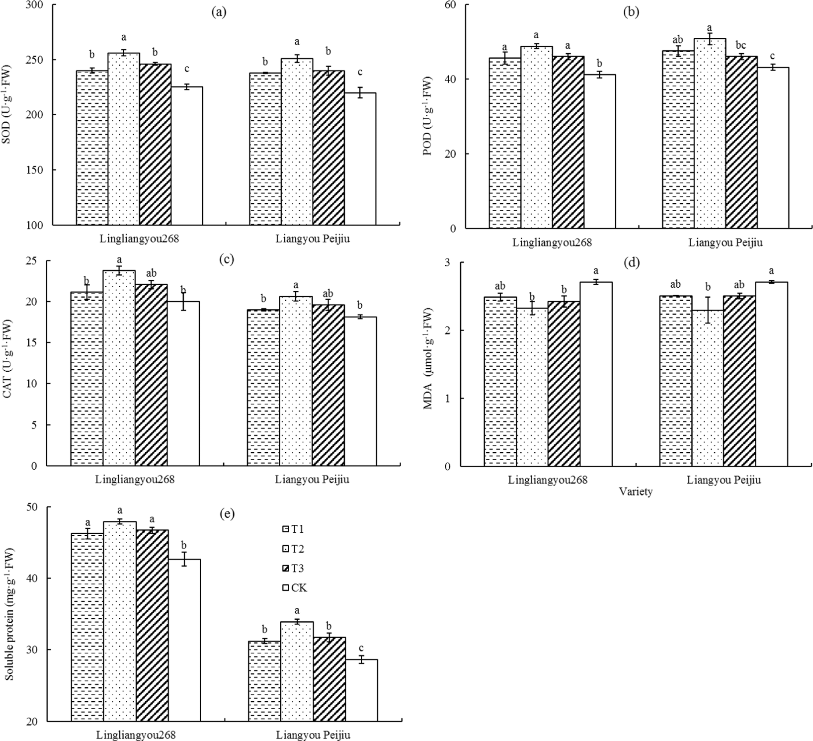
Figure 7
From: Impacts of Mist Spray on Rice Field Micrometeorology and Rice Yield under Heat Stress Condition

Effect of mist spray at different times on leaf senescence characteristics. T1 is mist spray at 08:00, T2 is mist spray at 12:00, T3 is mist spray at 14:00, and CK is no mist spray. Mist spray was conducted with an electric sprayer, and the spray volume was 1 L/m2. Error bars represent standard errors of the means. Different letters above error bars indicate significant difference among treatments by LSD test (P < 0.05).