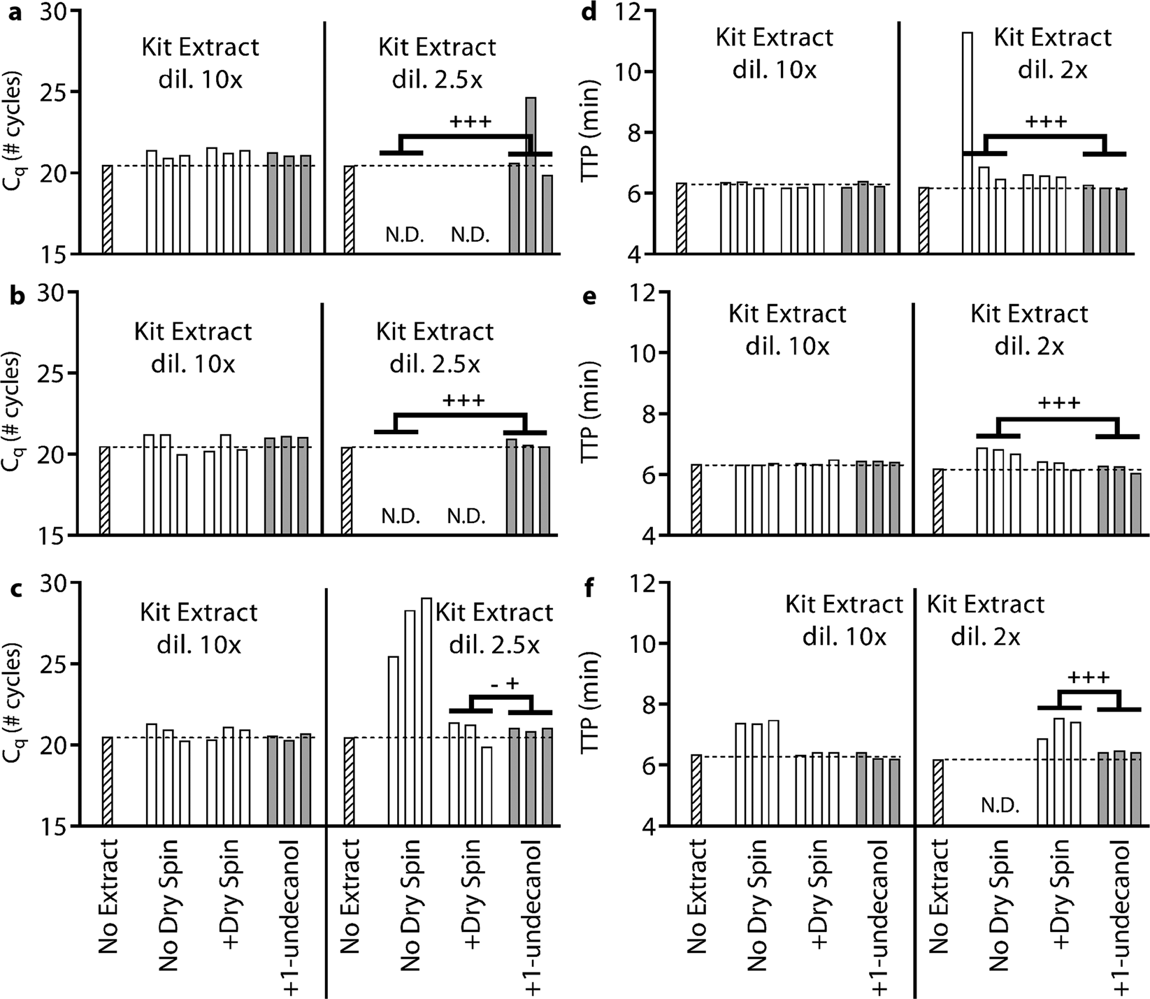
Figure 6

Evaluation of TPW for different silica-column NA extraction kit protocols on pure water samples using (a–c) qPCR and (d–f) LAMP. All reactions were spiked with 5 × 104 copies λ phage DNA and primers. By manufacturer protocol, the (a,d) Zymo Quick-DNA/RNA Viral Kit and (b,e) Zymo ZR Viral DNA/RNA Kit do not include the dry spin (+dry spin) whereas the (c,f) Qiagen QIAquick PCR Purification Kit does. The left of each graph shows high dilution and the right shows low dilution. Each bar represents the result from a single qPCR or LAMP measurement. We ran 27 silica-column extractions (3 silica columns × 3 conditions × 3 extraction protocols) and the kit extract was shared between high and low dilutions of both qPCR and LAMP. Dashed lines show the Cq or TTP for a reaction without inhibitors (“No Extract”). Samples marked N.D. were not detected within either 40 cycles or 40 min. (a–f) We asked whether the manufacturer protocol replicates (“No Dry Spin for Zymo kits, “+dry spin” for Qiagen kit) fell within the 95% CI of the corresponding +1-undecanol condition for the low kit extract dilution case. The number of replicates that lie outside the 95% CI are indicated by the number of + (above) and - (below).