Figure 7
From: Solution-Based Synthesis of Few-Layer WS2 Large Area Continuous Films for Electronic Applications

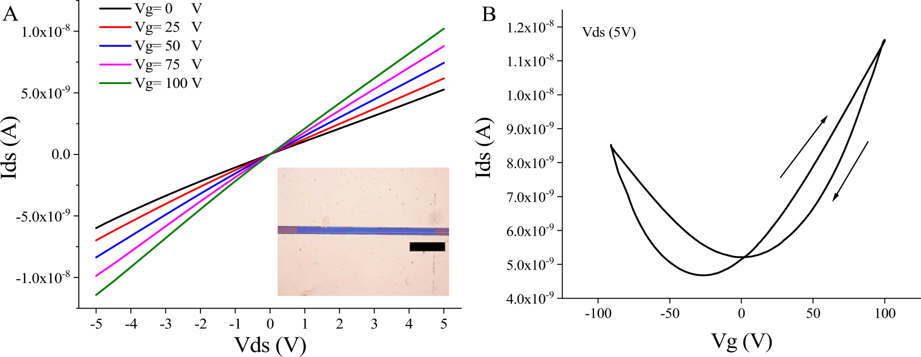
Electrical characteristics of back-gated WS2 FET (A) Ids-Vds (inset: optical microscope image for the actual FET device, the scale is 50 μm). (B) Forward and backward sweep transfer characteristics.