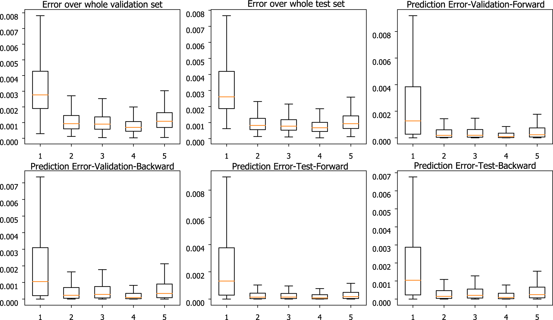
Figure 3

Comparison of normalized MSE (y-axis) over validation and test sets for different number of hidden layers (x-axis). Performance of the PHTNet in each test case is shown in boxplots, where the orange line indicates the median, the box indicates the range between 25% to 75% quartiles, and the lines indicate the standard deviation range. “Prediction Error” indicates the error for only the last sample of estimated voluntary signal. “Forward” and “Backward” indicate which path of the PHTNet is used.