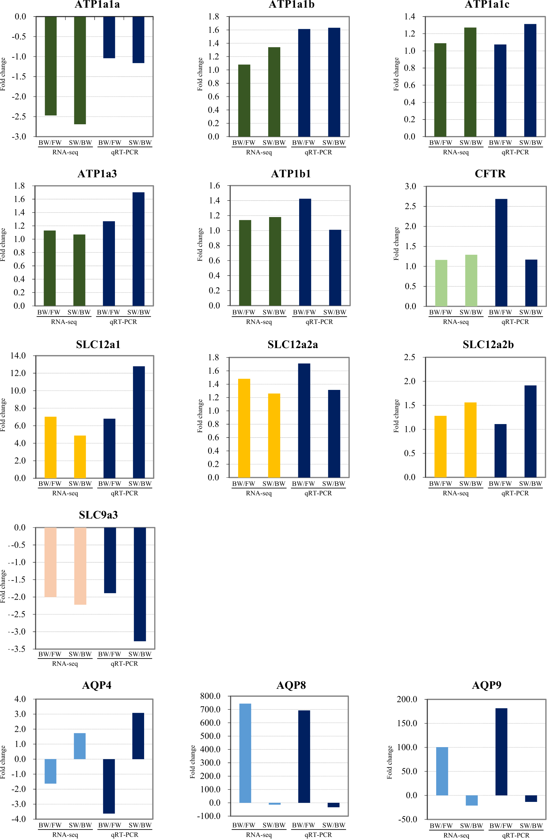
Figure 5

Validation of the RNA-seq data by qRT-PCR. Target genes were normalized to the reference gene, elongation factor 1 alpha. FW, freshwater; BW, brackish water; SW, seawater.

Validation of the RNA-seq data by qRT-PCR. Target genes were normalized to the reference gene, elongation factor 1 alpha. FW, freshwater; BW, brackish water; SW, seawater.