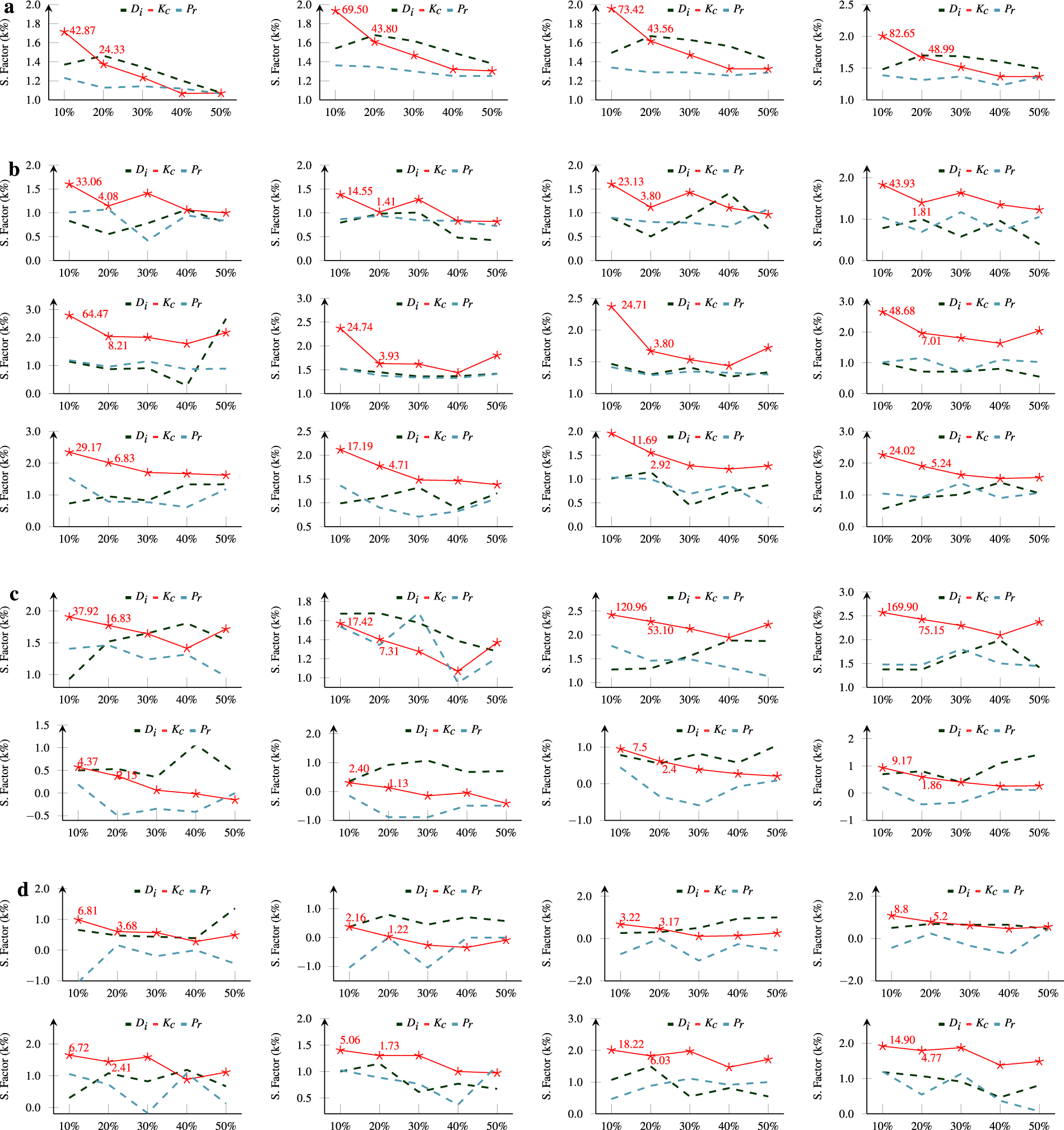
Figure 4

The nodes with lower inner and proportionally higher outer degree have a higher spreading factor. The most prominent nodes following graph decomposition method is a group within the initial fractions of users, (a–d) Here, 116.40 is the overall spreading factor for bins of most promising users. The nodes are arranged as per sequence in Table 1 where leftmost subfigure describe observations for Resource, Casualty, News and rightmost represents Sympathy. The y-axis describes the logarithm value of spreading factor and x-axis represents fractions of users aligned with the dynamic rank measure. The values on top of initial bins describe standard deviations of the underlying fraction.