Figure 3
From: Denosumab for dialysis patients with osteoporosis: A cohort study

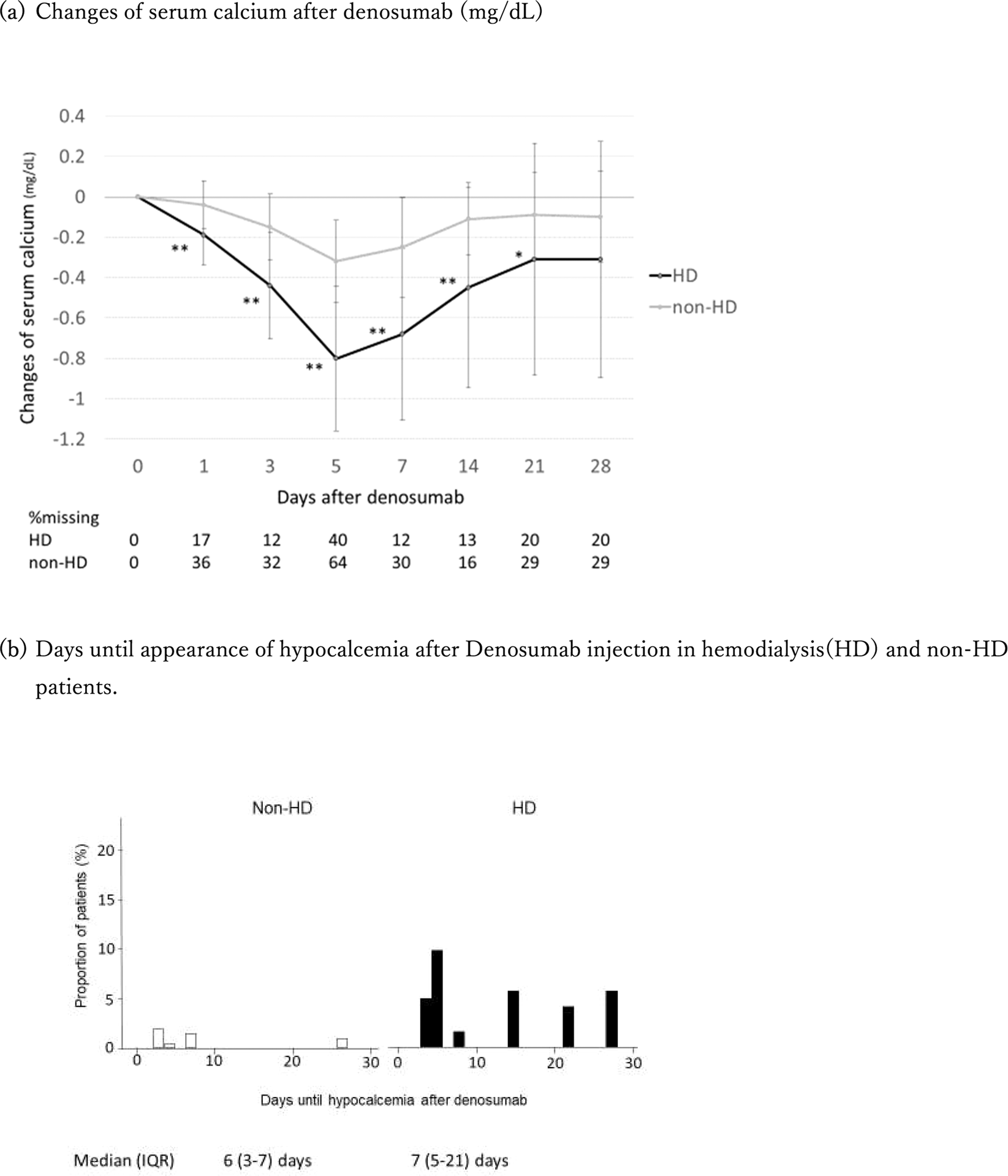
Decline of serum calcium from baseline after denosumab in hemodialysis (HD) and non-HD patients. (a) Changes of serum calcium after denosumab (mg/dL). (b) Days until appearance of hypocalcemia after denosumab injection in HD and non-HD patients. Hypocalcemia was defined as albumin-corrected serum calcium <8.5 mg/dL. First event of hypocalcemia after denosumab was captured.