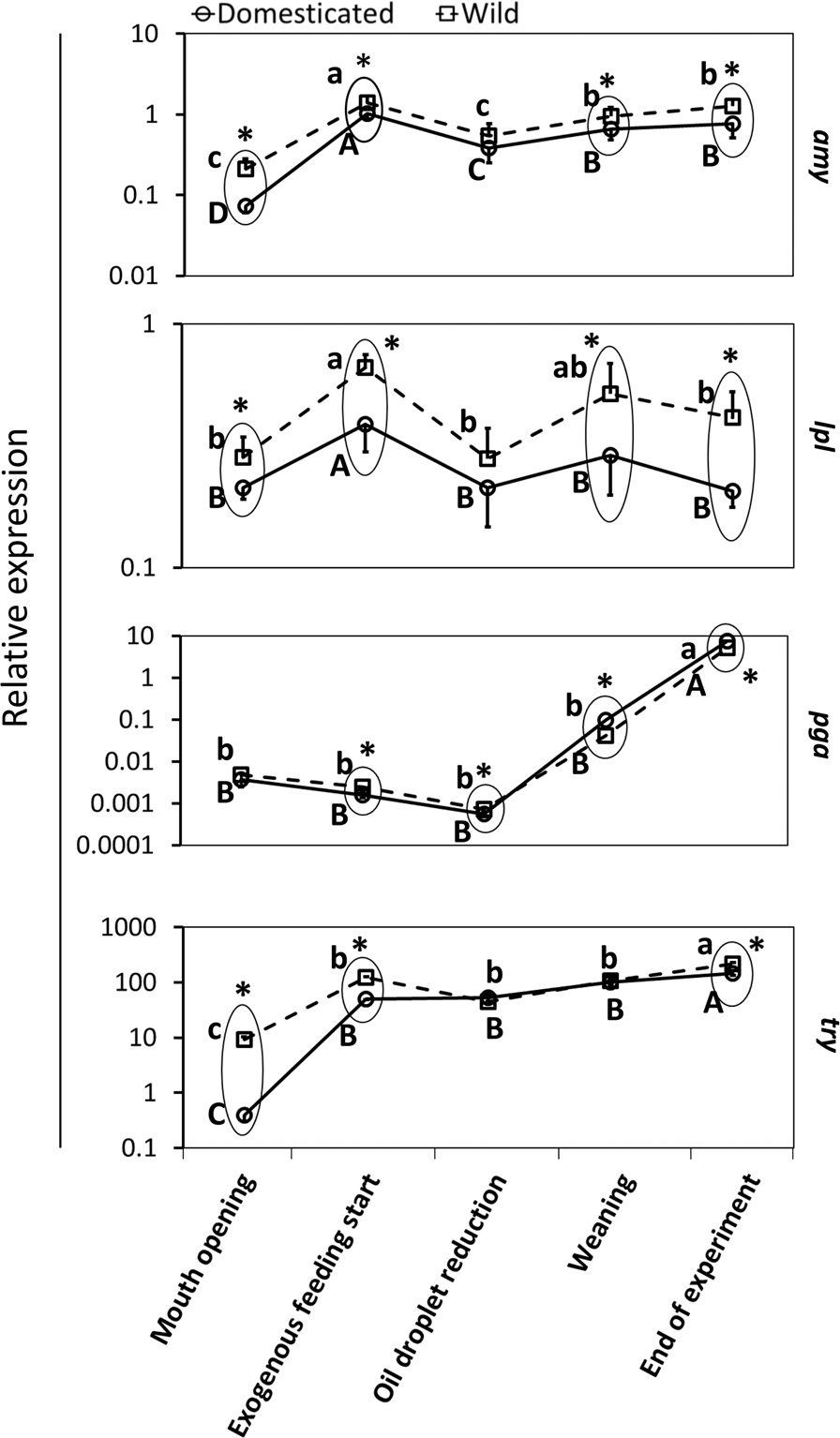
Figure 3

Dynamics of the digestive enzyme gene expression of Eurasian perch larvae at selected development steps. Data (mean ± SD) surrounded together and marked with an asterisk, were significantly different (p < 0.05) between wild and domesticated larvae. Different letters within the same group mean significantly differences (p < 0.05) – capital letters for wild Eurasian perch larvae and small letters for domesticated ones. pga – pepsinogen, amy – amylase, lpl – lipase, try – trypsin. Total RNA was extracted each time from approximately 20 mg of pooled tissue of perch larvae. Each group, at each sampling point, was represented by n = 8. Axis “Y” is presented as logarithmic (log10).