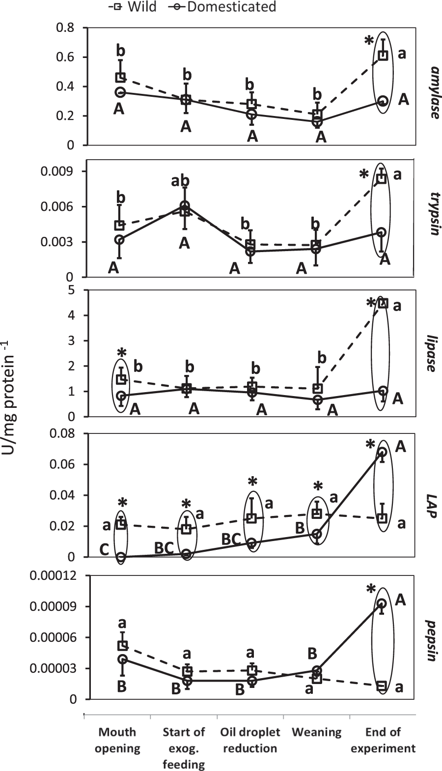
Figure 4

Dynamics of the digestive enzyme specific activity of Eurasian perch larvae at selected development steps. Data (mean ± SD) surrounded together and marked with an asterisk, were statistically different (p < 0.05) between wild and domesticated larvae. Different letters within the same group mean significant differences (p < 0.05) – capital letters for wild Eurasian perch larvae and small letters for domesticated ones. LAP – leucine aminopeptidase. To determine the specific enzymatic activity, 25 mg of tissue of perch larvae were used. Each group, at each sampling point, was represented by n = 8.