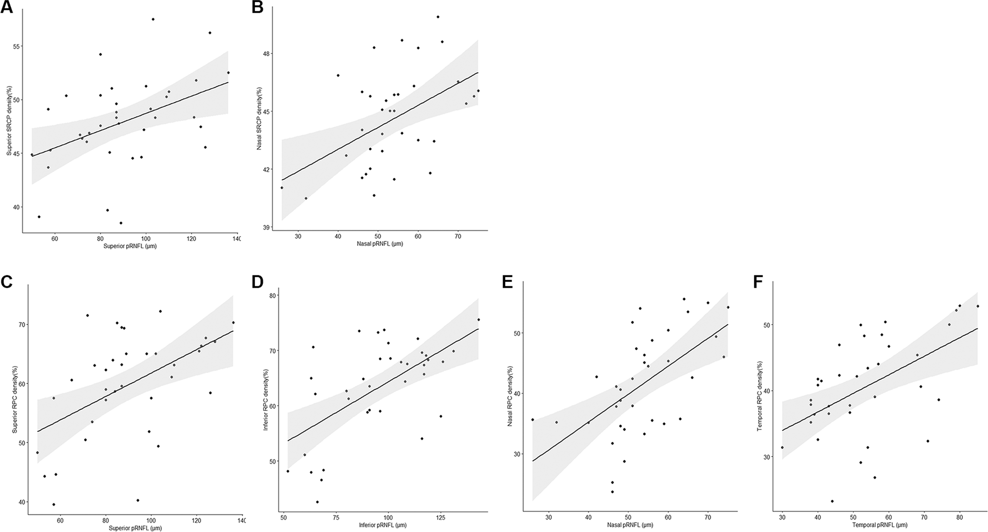
Figure 4

The scatterplot shows the correlation between each quadrant microvascular density and sectoral peripapillary retinal nerve fiber layer (pRNFL) in patients with chiasmal compression. (A) Correlation between the superior superficial retinal capillary plexus (SRCP) and the superior pRNFL (r = 0.438, P = 0.008); (B) Correlation between the nasal SRCP and the nasal pRNFL (r = 0.490, P = 0.002); Correlation between all the quadrants of radial peripapillary capillary (RPC) and the corresponding areas of pRNFL, respectively, (C, superior, r = 0.507, P = 0.002; (D) inferior, r = 0.599, P < 0.0001; E, nasal, r = 0.584, P < 0.0001; F, temporal, r = 0.522, P = 0.001). The black line indicates the linear regression line and the dark gray area the corresponding 95% CI.