Figure 9

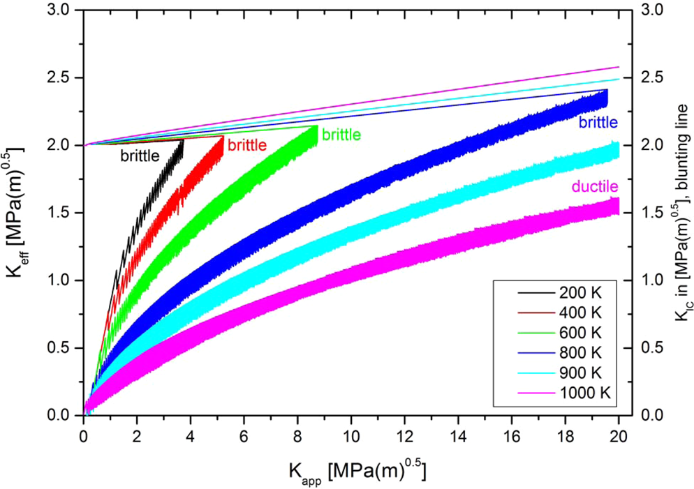
First definition of the BDT temperature. If \({K}_{eff}\) does not reach \({K}_{IC}\) for any \({K}_{app}\), the material behaviour is ductile, otherwise it is brittle. Furthermore, the slope of the curve representing the critical stress intensity, \({K}_{IC}\) to \({K}_{app}\), increases with increasing temperature. This clearly indicates that an increase in test temperature results in an increased blunting activity. Note: In Supplementary Figure 3, we plotted the number and position of the dislocations at the end of the experiments performed in this study.