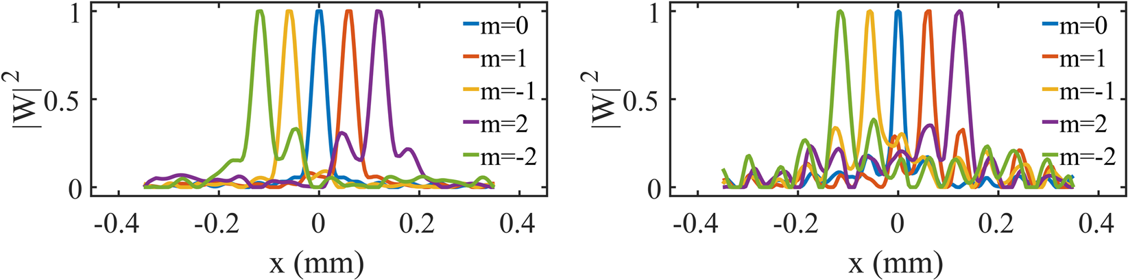
Figure 5

Profiles for the simulation (fist column) and experiment (second column) for the field cross-correlation function \({|W|}^{2}\).

Profiles for the simulation (fist column) and experiment (second column) for the field cross-correlation function \({|W|}^{2}\).