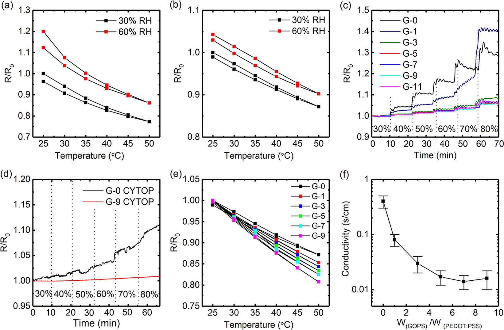
Figure 2

(a) Temperature-dependent relative resistance changes of bare PEDOT:PSS film without passivation layer, under different humidity conditions of 30% RH and 60% RH. (b) Temperature-dependent relative resistance changes of bare PEDOT:PSS film with CYTOP passivation layer, under different humidity conditions of 30% RH and 60% RH. (c) Humidity-dependent relative resistance changes of PEDOT:PSS films with different concentrations of GOPS (G-0, G-1, G-3, G-5, G-7, G-9, and G-11). (d) Humidity-dependent relative resistance changes of CYTOP encapsulated PEDOT:PSS films with different concentrations of GOPS (G-0, G-9). (e) Temperature-dependent relative resistance changes of CYTOP encapsulated PEDOT:PSS films with different concentrations of GOPS (G-0, G-1, G-3, G-5, G-7, and G-9). (f) Conductivity of PEDOT:PSS film with different concentrations of GOPS. Inks with GOPS to PEDOT:PSS weight ratio of 0, 1, 3, 5, 7, 9, 11 were denoted as G-0, G-1, G-3, G-5, G-7, G-9, G-11, respectively.