Figure 3

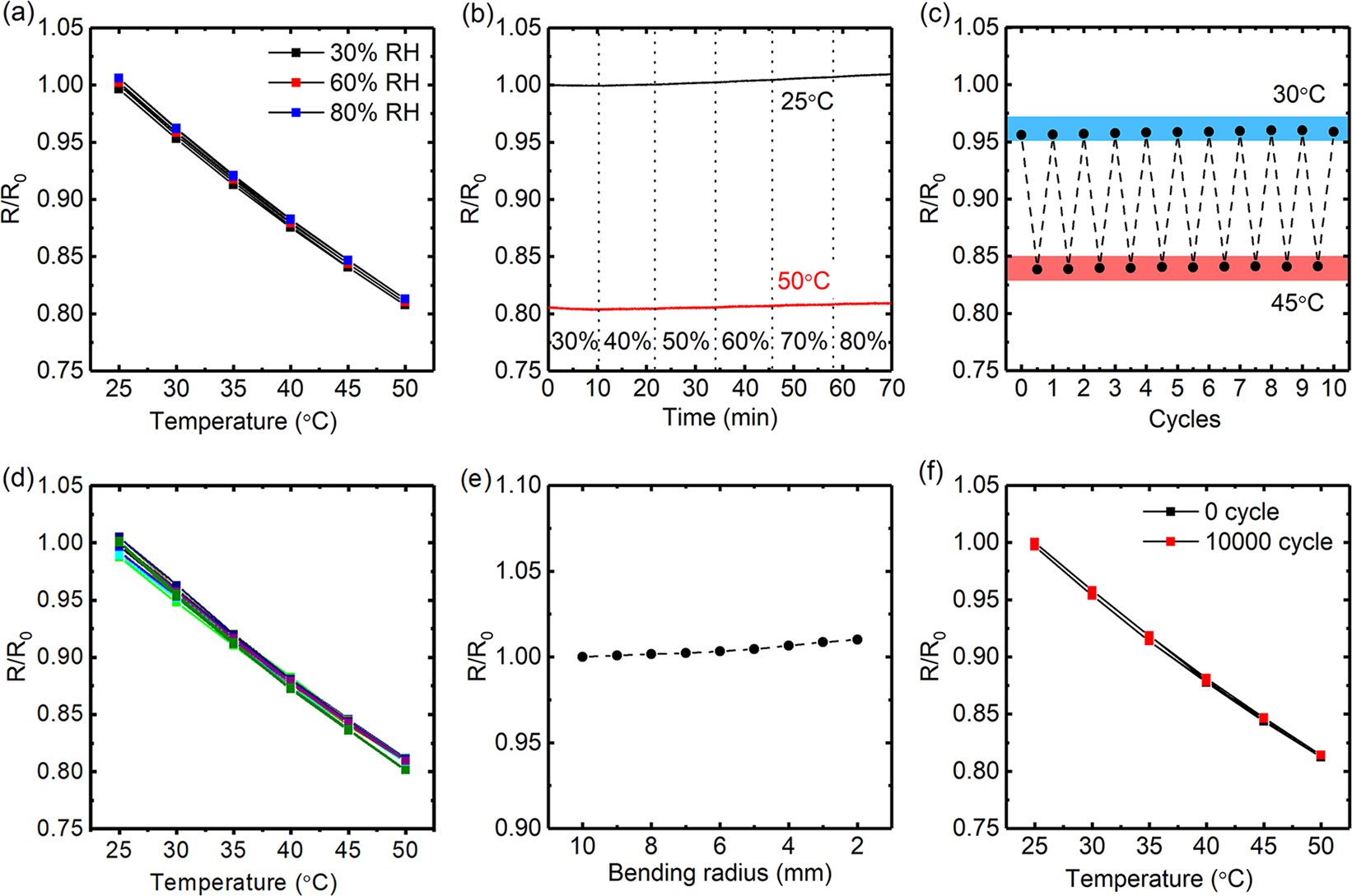
(a) Temperature-dependent relative resistance changes of the printed temperature sensor (ink G-9) under different humidity conditions of 30% RH, 60% RH and 80% RH, the data were obtained based on 1 cycle of heating and cooling run. (b) Relative-resistance changes of temperature sensor based on continuous measurement for 70 min at temperature of 25 °C and 50 °C, under humidity changes from 30% RH to 80% RH. (c) relative resistance changes of printed temperature sensor under cyclic heating and cooling run between 30 °C and 45 °C. (d) Temperature-dependent relative resistance changes of 10 printed temperature sensors. (e) Relative resistance changes of printed temperature sensor concerning on bending radius (from 10 to 2 mm). (f) Temperature-dependent relative resistance changes of printed temperature sensor before bending (0 cycle) and after cyclic bending for 10000 cycles at a bending radius of 5 mm (10000 cycles).