Figure 5
From: Deep learning for irregularly and regularly missing data reconstruction

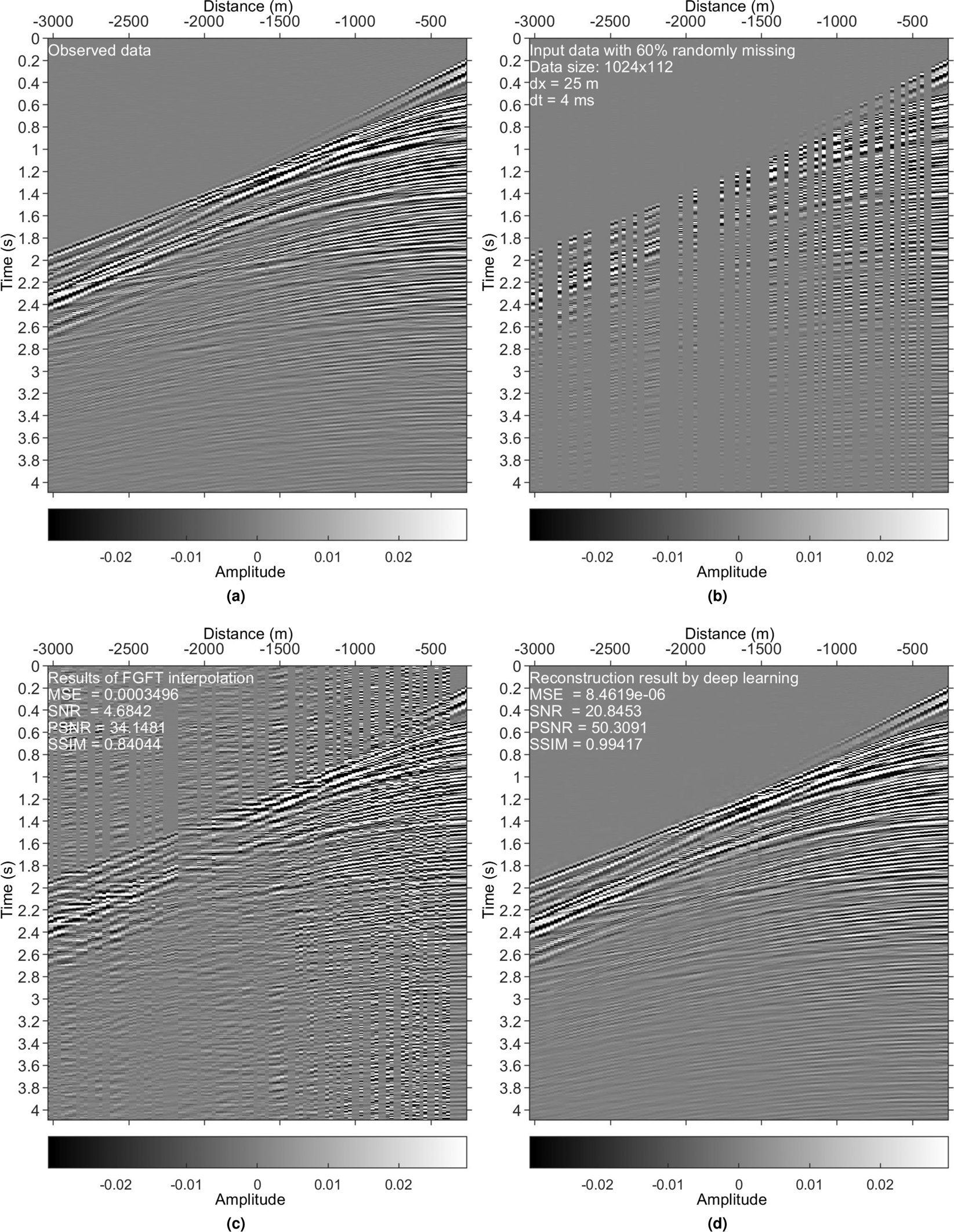
Results on the Mobil Viking graben line 12 data set. (a) Reference data. (b) Irregularly sampled data with 60% missing. (c) Interpolated data using the FGFT interpolation method23. (d) DL reconstruction result.